Fig. 7

Download original image
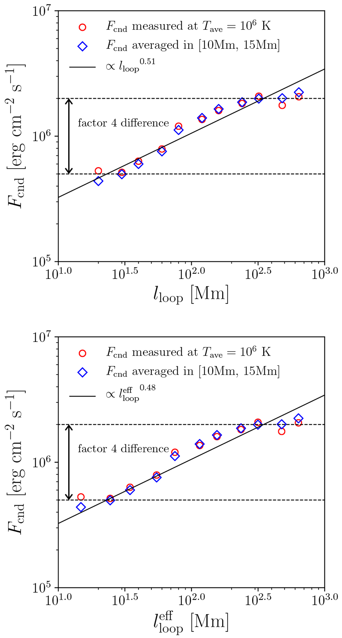
Relation between the coronal conductive flux and loop length. Top: half loop length versus coronal conductive flux measured at Tave = 106 K (red circles) and averaged in 10 Mm ≤ s ≤ 15 Mm (blue diamonds). Also shown, by the solid line, is the power-law fitting to the blue diamonds. Bottom: same as the top panel but with respect to the effective half loop length
.
Current usage metrics show cumulative count of Article Views (full-text article views including HTML views, PDF and ePub downloads, according to the available data) and Abstracts Views on Vision4Press platform.
Data correspond to usage on the plateform after 2015. The current usage metrics is available 48-96 hours after online publication and is updated daily on week days.
Initial download of the metrics may take a while.