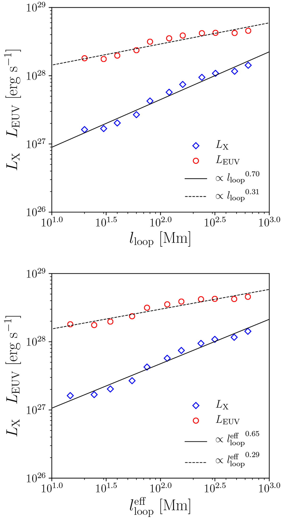
Fig. 8

Download original image
(Effective) loop length versus X-ray luminosity LX (red circles) and EUV luminosity LEUV (blue diamonds). The solid and dashed lines show the power-law fittings to the simulation results. The top and bottom panels show the relation with respect to the half loop length lloop and the effective hal loop length
(see Eq. (63)), respectively.
Current usage metrics show cumulative count of Article Views (full-text article views including HTML views, PDF and ePub downloads, according to the available data) and Abstracts Views on Vision4Press platform.
Data correspond to usage on the plateform after 2015. The current usage metrics is available 48-96 hours after online publication and is updated daily on week days.
Initial download of the metrics may take a while.