Free Access
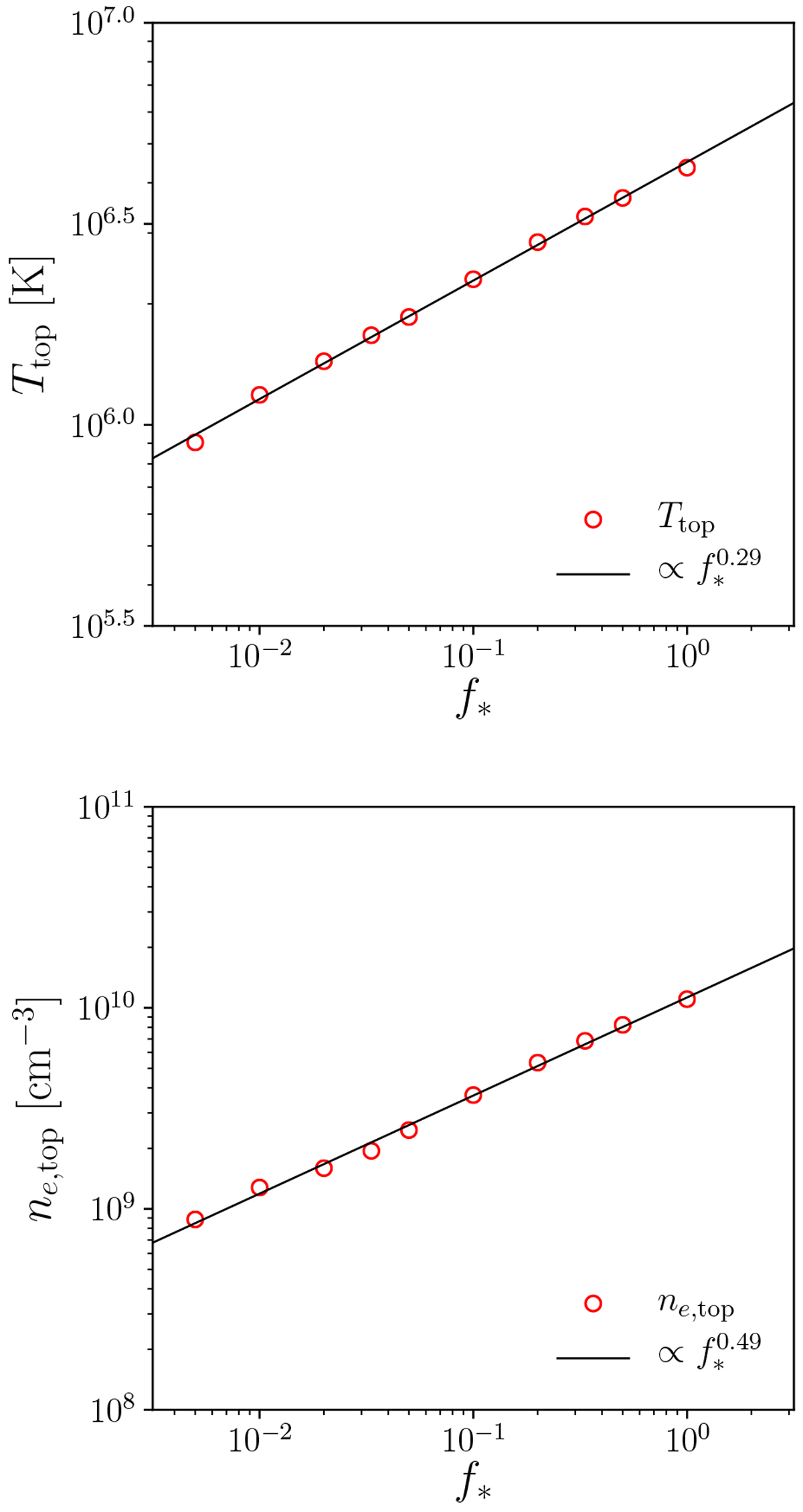
Fig. 9

Download original image
Magnetic filling factor on the photosphere f* versus time-averaged loop-top temperature (Ttop, top panel) and loop-top electron density (ne,top, bottom panel). The half loop length is fixed to lloop = 20 Mm. Red circles show the simulation results and the solid lines show the power-law fittings to them.
Current usage metrics show cumulative count of Article Views (full-text article views including HTML views, PDF and ePub downloads, according to the available data) and Abstracts Views on Vision4Press platform.
Data correspond to usage on the plateform after 2015. The current usage metrics is available 48-96 hours after online publication and is updated daily on week days.
Initial download of the metrics may take a while.