Fig. 2.

Download original image
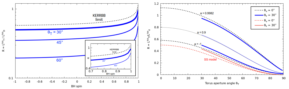
Left panel: luminosity ratio R as a function of the BH spin for different torus aperture angles (θT = 30° −45° −60°) and for θv = 30° (no solution is shown for θT < θv). The dashed black line is the KERRBB limit (θv = θT = 0°). In the SS case, the ratios (not shown for clarity) are R = 0.43 − 0.29 − 0.14 for θT = 30° −45° −60°, respectively (see right panel). The small plot is a zoom onto the a > 0.7 region. Right panel: luminosity ratio R as a function of the torus aperture angle θT, for different spin values (a = −1, 0.9, 0.9982) and viewing angles (θv = 0° −30°). The a = 0 case is similar to the one with a = −1. All solutions lie between the two extreme spin curves (a = −1, 0.9982). For comparison, the red curves represent the SS results. In both plots, the curves are calculated using Eq. (2).
Current usage metrics show cumulative count of Article Views (full-text article views including HTML views, PDF and ePub downloads, according to the available data) and Abstracts Views on Vision4Press platform.
Data correspond to usage on the plateform after 2015. The current usage metrics is available 48-96 hours after online publication and is updated daily on week days.
Initial download of the metrics may take a while.