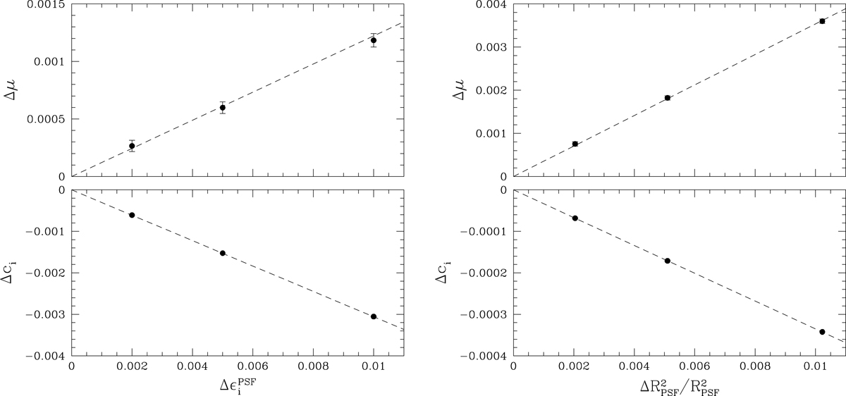
Fig. 7.

Download original image
Left: change in multiplicative bias (top) and additive bias (bottom) as a function of Δ, the error in PSF ellipticity. Right: idem, but when the size of the PSF is changed isotropically. The relative change in size is quantified by
, computed using the PSF quadrupole moments. In both cases, the multiplicative and additive biases increase linearly with the PSF error, but we note the different scales: The multiplicative bias is more sensitive to size errors, whereas the additive bias is most sensitive to errors in the PSF ellipticity.
Current usage metrics show cumulative count of Article Views (full-text article views including HTML views, PDF and ePub downloads, according to the available data) and Abstracts Views on Vision4Press platform.
Data correspond to usage on the plateform after 2015. The current usage metrics is available 48-96 hours after online publication and is updated daily on week days.
Initial download of the metrics may take a while.