Open Access

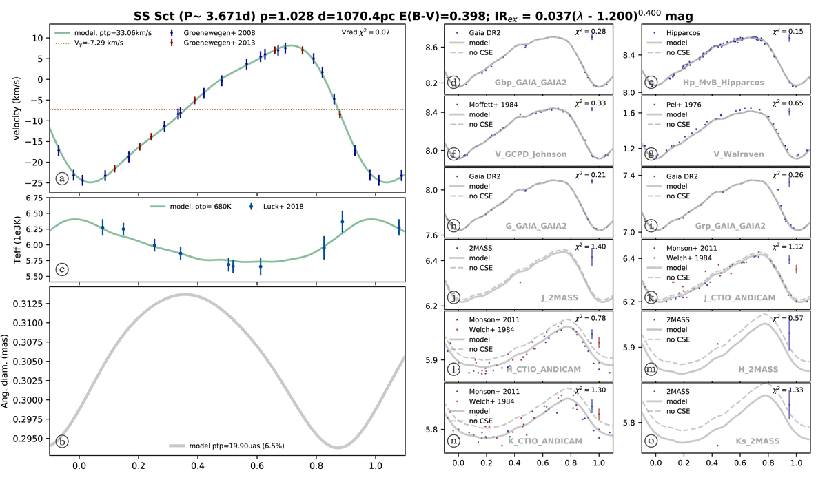
Fig. B.1.

image

Download original image

Result of the SPIPS modeling for the Cepheid SS Sct (P = 3.67 days). This star is representative of a bad dataset in the adopted sample that has only a few radial velocity data and dispersed photometry.

Current usage metrics show cumulative count of Article Views (full-text article views including HTML views, PDF and ePub downloads, according to the available data) and Abstracts Views on Vision4Press platform.

Data correspond to usage on the plateform after 2015. The current usage metrics is available 48-96 hours after online publication and is updated daily on week days.

Initial download of the metrics may take a while.