Free Access

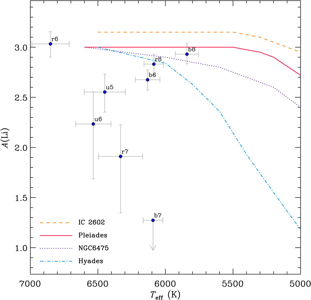
Fig. 9.

image

Download original image

Lithium abundance as a function of Teff. The upper envelopes of A(Li) for IC 2602 (age ≈ 30 Ma), the Pleiades (≈100 Ma), NGC 6475 (≈300 Ma), and the Hyades (≈600 Ma) clusters adapted from Sestito & Randich (2005) are overplotted.

Current usage metrics show cumulative count of Article Views (full-text article views including HTML views, PDF and ePub downloads, according to the available data) and Abstracts Views on Vision4Press platform.

Data correspond to usage on the plateform after 2015. The current usage metrics is available 48-96 hours after online publication and is updated daily on week days.

Initial download of the metrics may take a while.