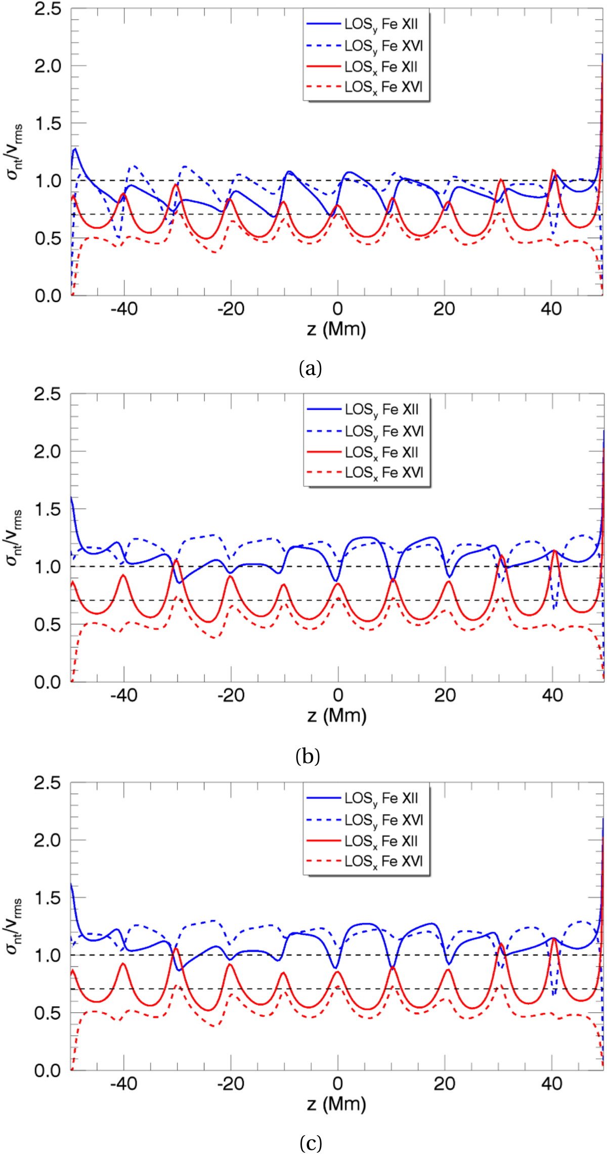
Fig. 9.

Download original image
σnt/vrms as a function of the height (z) for the complex magnetic field model with exposure times of (a) 14 s, (b) 47 s, and (c) 105 s. The different LOS angles are LOSy (blue) and LOSx (red) and the emission lines are Fe XII (solid lines) and Fe XVI (dashed lines). The dashed horizontal lines, from top to bottom, are 1 and .
Current usage metrics show cumulative count of Article Views (full-text article views including HTML views, PDF and ePub downloads, according to the available data) and Abstracts Views on Vision4Press platform.
Data correspond to usage on the plateform after 2015. The current usage metrics is available 48-96 hours after online publication and is updated daily on week days.
Initial download of the metrics may take a while.