Fig. A.1

Download original image
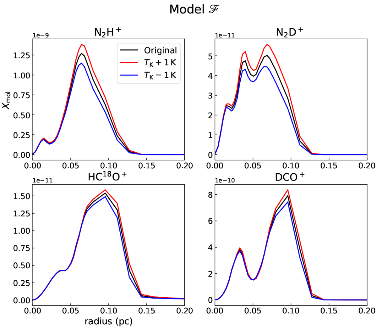
Abundance profiles of N2H+, N2D+, HCO+, and DCO+ (from top-left to bottom-right panel) in the model , using the original kinetic temperature profile from Keto et al. (2015) (in black), and increasing or decreasing the temperature by 1 K (red and blue curves respectively). With respect to all other figures in this work, here we use the linear scale, since in the logarithmic scale the small variations would not be visible. The x-axis is limited to the central 0.2 pc.
Current usage metrics show cumulative count of Article Views (full-text article views including HTML views, PDF and ePub downloads, according to the available data) and Abstracts Views on Vision4Press platform.
Data correspond to usage on the plateform after 2015. The current usage metrics is available 48-96 hours after online publication and is updated daily on week days.
Initial download of the metrics may take a while.