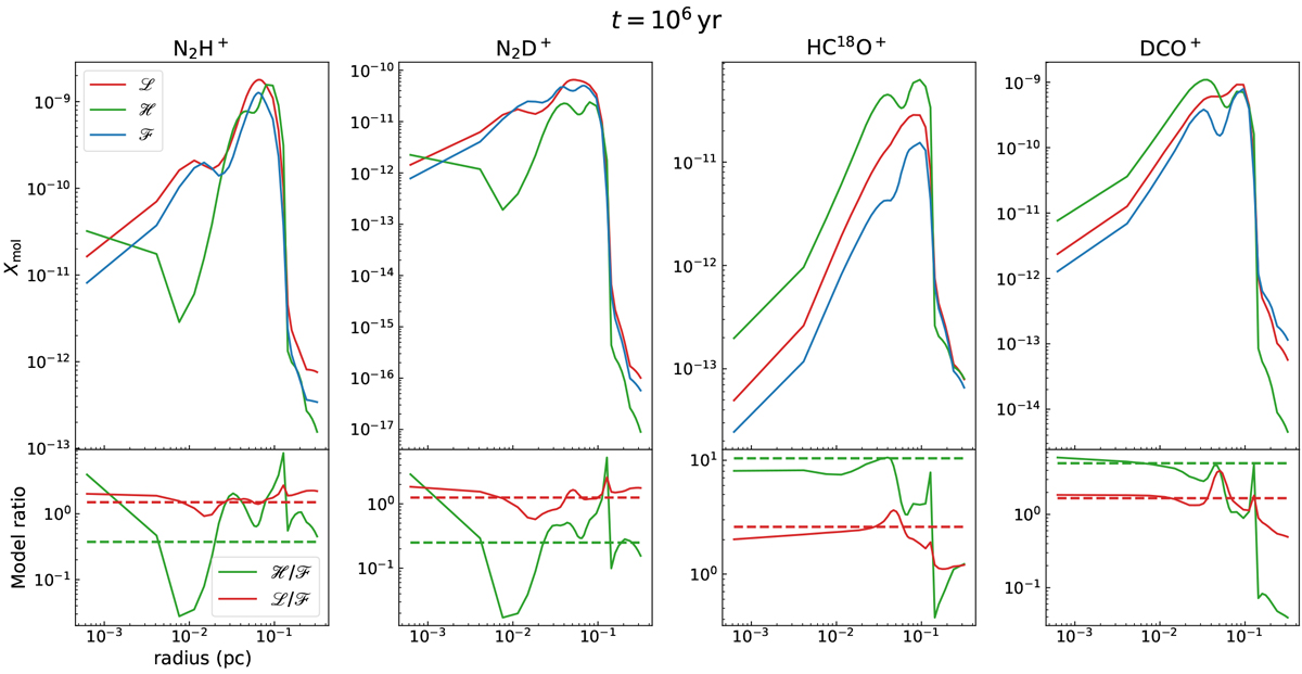
Fig. 2

Download original image
Top panels: abundance profiles for the four analysed species (from left to right: N2H+, N2D+, HC18O+, DCO+) at t = 106 yr. The colours refer to different models used for the CR ionisation rate: model
(blue), model
(red), and model
(green). Bottom panels: the green and red solid curves show the ratio of model
and model
to model
, respectively. The dashed, horizontal lines represent the inverse ratios of the corrective factors fcorr used to reproduce the observed lines, as reported in Sect. 4.1 and Table 2. To give an example, the radiative transfer of DCO+ lines requires fcorr = 0.9 in model
, and fcorr = 1.5 in model
; therefore thered solid curve
/
in the rightmost panel has to be compared with the red dashed line at
.
Current usage metrics show cumulative count of Article Views (full-text article views including HTML views, PDF and ePub downloads, according to the available data) and Abstracts Views on Vision4Press platform.
Data correspond to usage on the plateform after 2015. The current usage metrics is available 48-96 hours after online publication and is updated daily on week days.
Initial download of the metrics may take a while.