Fig. 9

Download original image
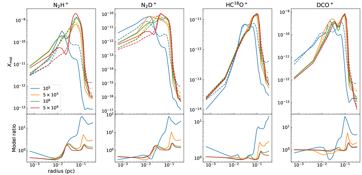
Top panels: abundance profiles obtained with the model with constant ζ2 = 1.3 × 10−17 s−1, with no initial cloud evolution (model , solid curves) and with a cloud evolution of tCE = 106 yr to set the initial conditions (dashed curves). The different colours refer to the four time steps investigated in this work (labelled in the first panel, in year). Bottom panels: ratios between the abundance profiles of the model with and without cloud evolution. The colour code is the same as for the upper panels.
Current usage metrics show cumulative count of Article Views (full-text article views including HTML views, PDF and ePub downloads, according to the available data) and Abstracts Views on Vision4Press platform.
Data correspond to usage on the plateform after 2015. The current usage metrics is available 48-96 hours after online publication and is updated daily on week days.
Initial download of the metrics may take a while.