Fig. 9.

Download original image
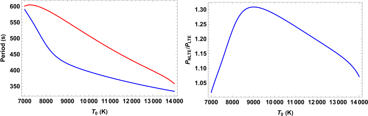
Left panel: comparison between periods for slow waves in the LTE case (blue line) and in the non-LTE case (red line) versus temperature. Right panel: theoretical (blue line), following Eq. (45), and numerical (red line) ratios of the periods of slow waves versus temperature, computed for the LTE and non-LTE cases. Also, kx = 10−6 m−1, ρ0 = 4 × 10−11 kg m−3, and χ = 13.6 eV.
Current usage metrics show cumulative count of Article Views (full-text article views including HTML views, PDF and ePub downloads, according to the available data) and Abstracts Views on Vision4Press platform.
Data correspond to usage on the plateform after 2015. The current usage metrics is available 48-96 hours after online publication and is updated daily on week days.
Initial download of the metrics may take a while.