Open Access
Fig. 20.

Download original image
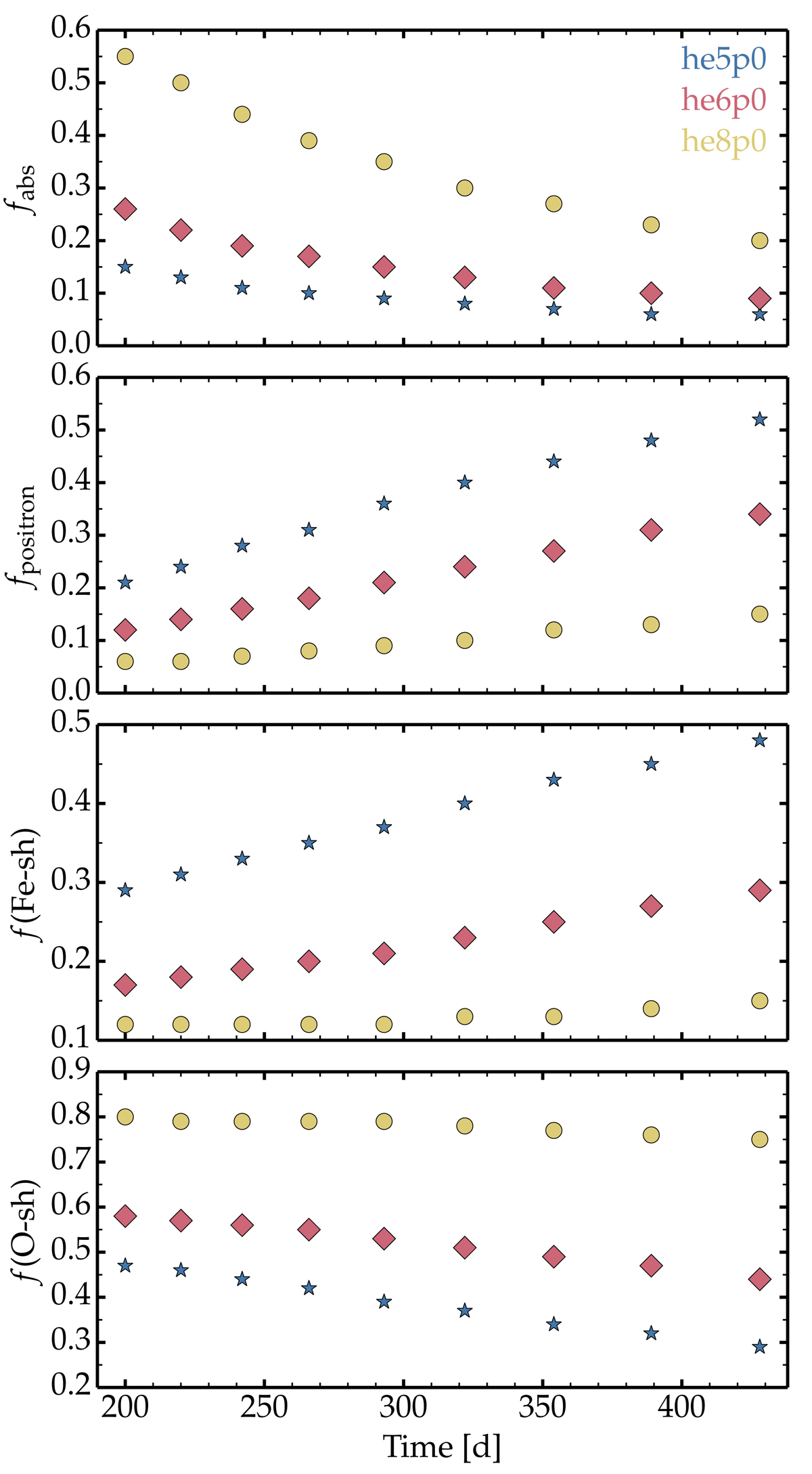
Evolution of the decay power absorbed in the ejecta, the fraction of that power that arises from positrons (assumed here to be absorbed locally), and the fraction of the total decay power absorbed by the Fe-rich and O-rich shells in models he5p0 (blue star), he6p0 (red diamond), and he8p0 (yellow filled circle).
Current usage metrics show cumulative count of Article Views (full-text article views including HTML views, PDF and ePub downloads, according to the available data) and Abstracts Views on Vision4Press platform.
Data correspond to usage on the plateform after 2015. The current usage metrics is available 48-96 hours after online publication and is updated daily on week days.
Initial download of the metrics may take a while.