Fig. 9

Download original image
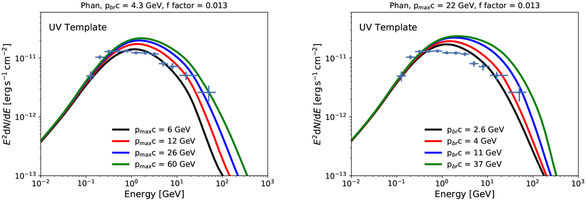
γ-ray spectrum of the Cygnus Loop extracted with the UV template and modeled emission in the RPCR scenario (Eq. (12)). Solid lines show the total contribution of Bremsstrahlung radiation, IC, and π0 decay using preexisting CRs from Phan et al. (2018). On the left (right), we show different cutoff (break) energy values at pbr c = 4.3 GeV (pmax c = 22 GeV). The actual cutoff and break energies in the radiative zone are s1∕3pmaxc and s1∕3pbrc. The filling factor f is fixed to f = 0.013.
Current usage metrics show cumulative count of Article Views (full-text article views including HTML views, PDF and ePub downloads, according to the available data) and Abstracts Views on Vision4Press platform.
Data correspond to usage on the plateform after 2015. The current usage metrics is available 48-96 hours after online publication and is updated daily on week days.
Initial download of the metrics may take a while.