Open Access

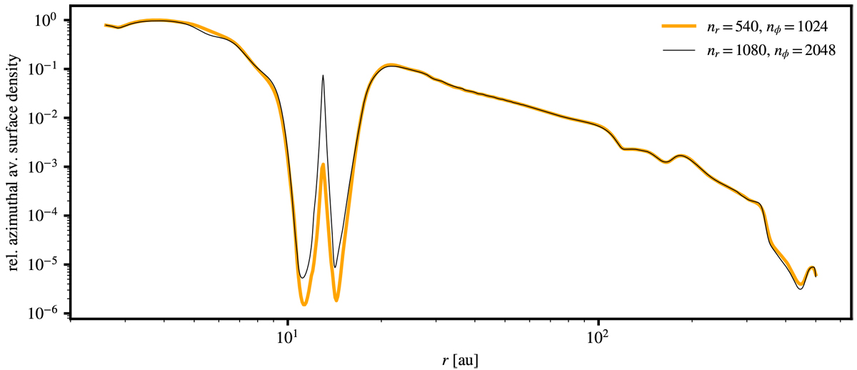
Fig. B.2

image

Download original image

Radial profiles of the surface density results after 1000 inner planet orbits for the resolution used in all the simulations presented in the paper (nr = 540, nϕ = 1024) compared to a higher resolution (nr = 1080, nϕ = 2048). The results are for the dust fluid with a grain size of adust = 5μm with simulation setup VII in both cases.

Current usage metrics show cumulative count of Article Views (full-text article views including HTML views, PDF and ePub downloads, according to the available data) and Abstracts Views on Vision4Press platform.

Data correspond to usage on the plateform after 2015. The current usage metrics is available 48-96 hours after online publication and is updated daily on week days.

Initial download of the metrics may take a while.