Free Access

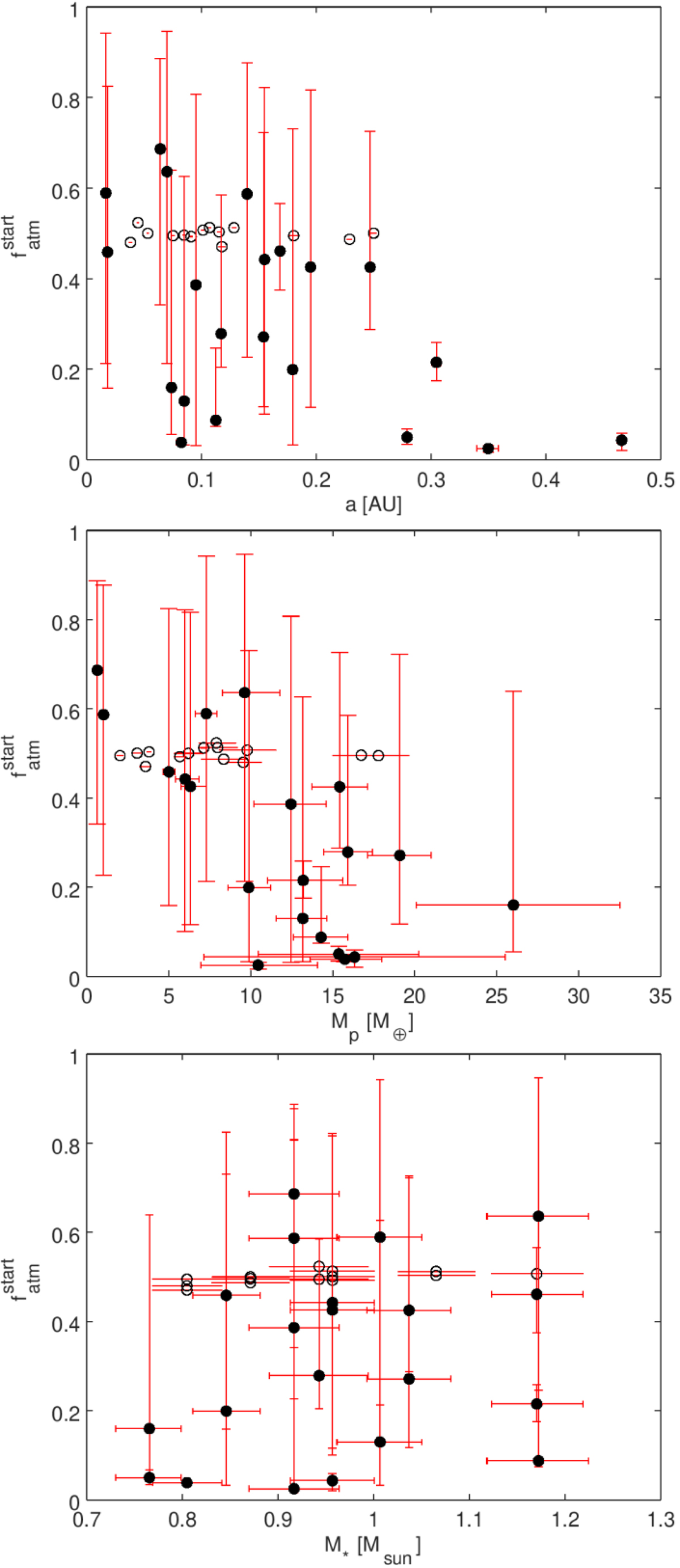
Fig. 7.

image

Download original image

Initial atmospheric mass fractions as a function of planetary semi-major axis (top), planetary mass (middle), and stellar mass (bottom) for the sample of planetary systems considered here. For flat PDFs, the uncertainty would span the entire axis and is therefore not displayed for better visualisation; those data points are indicated by empty markers.

Current usage metrics show cumulative count of Article Views (full-text article views including HTML views, PDF and ePub downloads, according to the available data) and Abstracts Views on Vision4Press platform.

Data correspond to usage on the plateform after 2015. The current usage metrics is available 48-96 hours after online publication and is updated daily on week days.

Initial download of the metrics may take a while.