Free Access

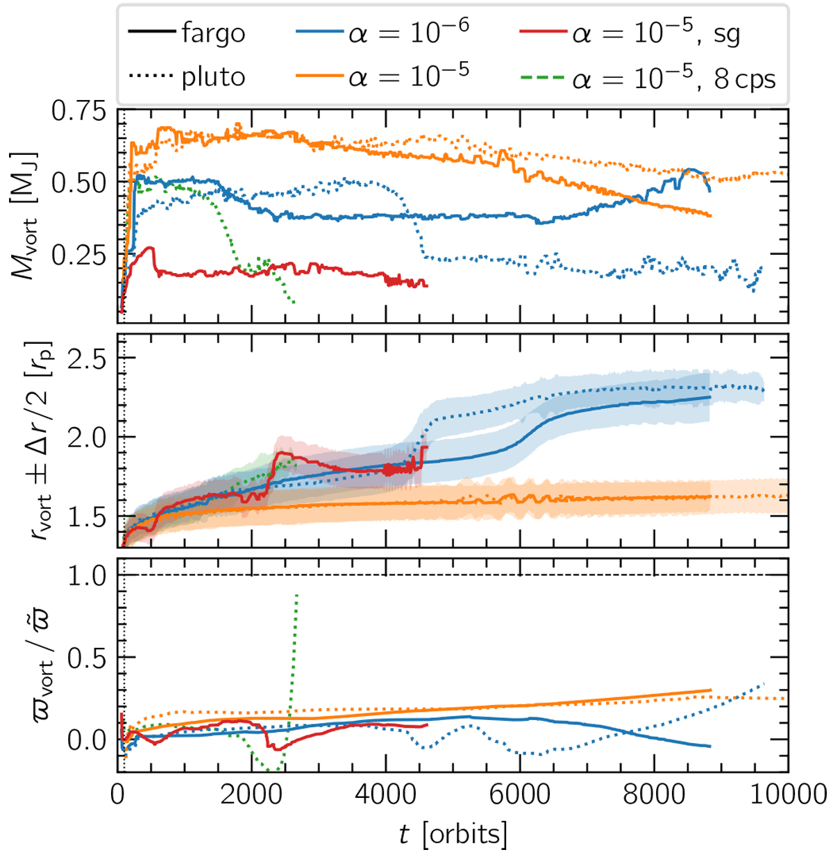
Fig. 8

image

Download original image

Selection of models with long-living and migrating vortices at 16 cps resolution for the two different codes. Both codes agree remarkably well for the blue and orange cases. The panels are as in Fig. 3. In models shown here, β = 0.01. The values of α, the resolution, and the code used are indicated in the legend.

Current usage metrics show cumulative count of Article Views (full-text article views including HTML views, PDF and ePub downloads, according to the available data) and Abstracts Views on Vision4Press platform.

Data correspond to usage on the plateform after 2015. The current usage metrics is available 48-96 hours after online publication and is updated daily on week days.

Initial download of the metrics may take a while.