Free Access
Fig. 16.

Download original image
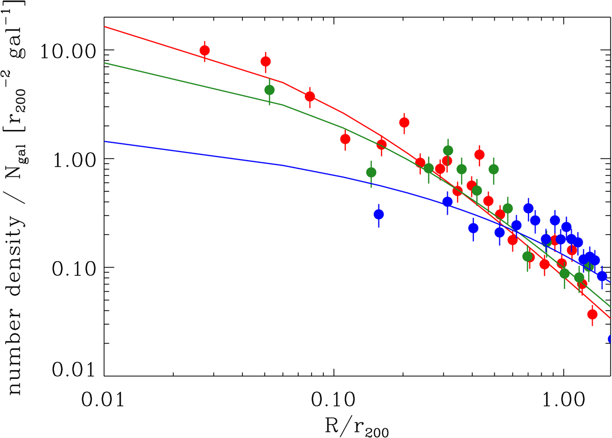
Number density profiles (normalised by the total number of galaxies in each sample, Ngal) of the passive and red HDS (red points and lines), blue HDS, and wELG (green), and mELG, ELGs15, and ELGs40 (blue) populations. Error bars are 1 σ. Solid lines are best-fit NFW models for each population.
Current usage metrics show cumulative count of Article Views (full-text article views including HTML views, PDF and ePub downloads, according to the available data) and Abstracts Views on Vision4Press platform.
Data correspond to usage on the plateform after 2015. The current usage metrics is available 48-96 hours after online publication and is updated daily on week days.
Initial download of the metrics may take a while.