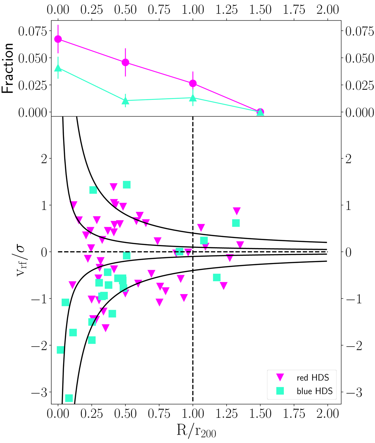
Fig. 19.

Download original image
Projected phase-space distribution and fraction of post-starburst galaxies. Bottom panel: projected phase-space distribution of red (magenta) and blue (cyan) post-starburst galaxies. The lines are the same as those in Fig. 18. Top panel: fraction of post-starburst galaxies with respect to all classified members as a function of the clustercentric distance.
Current usage metrics show cumulative count of Article Views (full-text article views including HTML views, PDF and ePub downloads, according to the available data) and Abstracts Views on Vision4Press platform.
Data correspond to usage on the plateform after 2015. The current usage metrics is available 48-96 hours after online publication and is updated daily on week days.
Initial download of the metrics may take a while.