Open Access

Fig. B.2.

image

Download original image

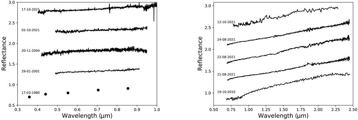
Compilation of literature and new VIS (left) and NIR (right) spectra of Rosa, presented in chronological order. Observations obtained on 21-08-2021, 22-08-2021, 24-08-2021, 2-10-2021, 12-10-2021, and 17-10-2021 are from this study, while observations on 17-03-1980 are from Zellner et al. (1985), on 29-01-2001 are from Lazzaro et al. (2004), on 20-11-2004 are from Fornasier et al. (2011), and on 19-10-2010 are from Marsset et al. (2016).

Current usage metrics show cumulative count of Article Views (full-text article views including HTML views, PDF and ePub downloads, according to the available data) and Abstracts Views on Vision4Press platform.

Data correspond to usage on the plateform after 2015. The current usage metrics is available 48-96 hours after online publication and is updated daily on week days.

Initial download of the metrics may take a while.