Free Access
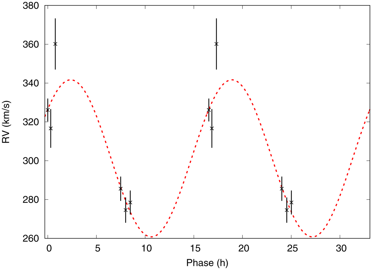
Fig. 9.

Download original image
SDSS radial velocities of EPIC 212682624, folded to the period in Fig. 8 that is consistent with the photometric period. The dashed red line shows a sinusoidal fit, assuming a circular orbit.
Current usage metrics show cumulative count of Article Views (full-text article views including HTML views, PDF and ePub downloads, according to the available data) and Abstracts Views on Vision4Press platform.
Data correspond to usage on the plateform after 2015. The current usage metrics is available 48-96 hours after online publication and is updated daily on week days.
Initial download of the metrics may take a while.