Free Access

Fig. 3.

image

Download original image

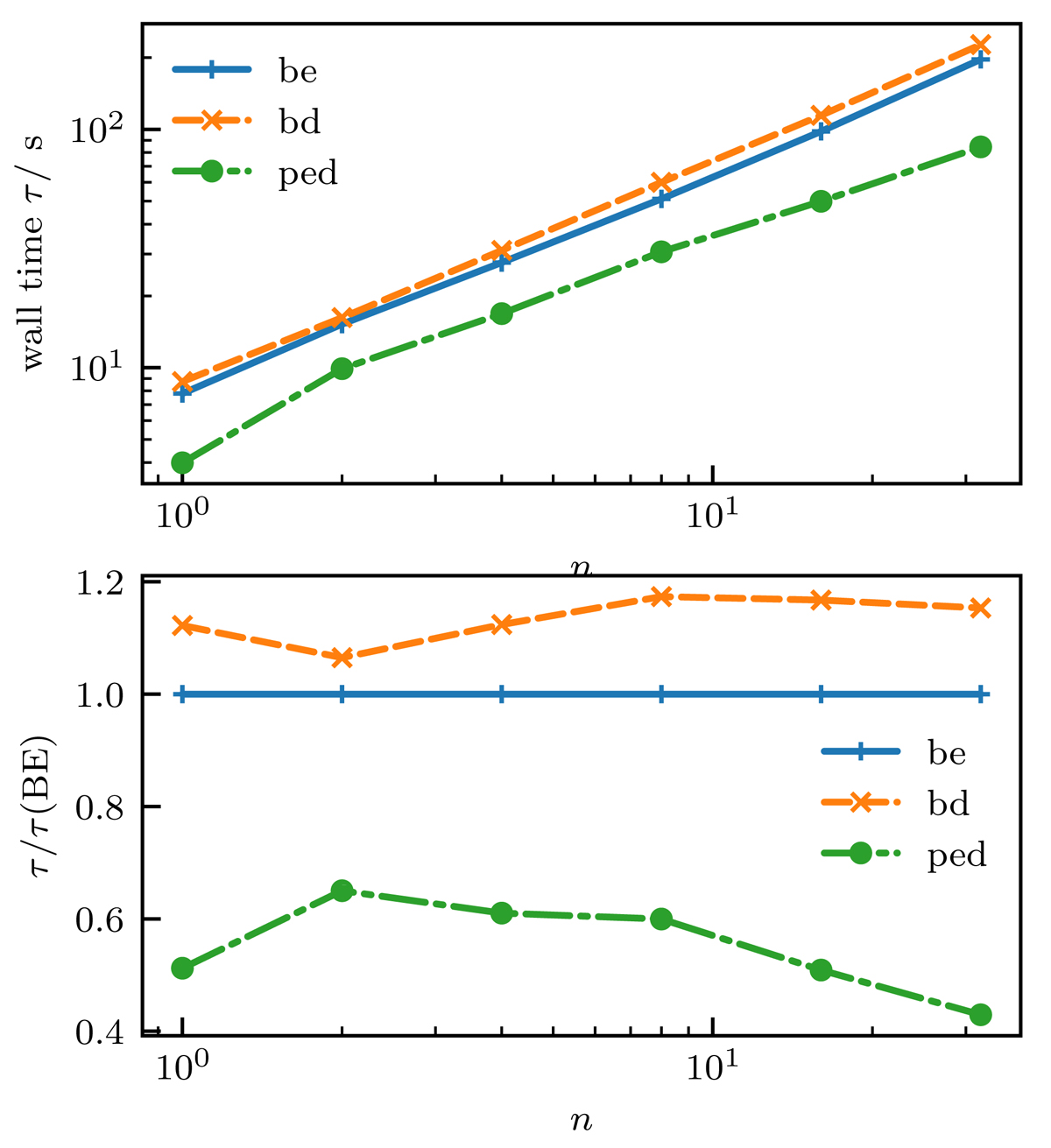
Comparison of the time it takes for each solver to compute a solution for a 13C pocket trajectory. Top panel: time in absolute seconds. Lower panel: all the times normalised to the BE times. It is worth noting that even if BE is faster than BD, BE is less accurate for the same time steps, as shown in Fig. 2. The PED method is faster than the other two in all cases.

Current usage metrics show cumulative count of Article Views (full-text article views including HTML views, PDF and ePub downloads, according to the available data) and Abstracts Views on Vision4Press platform.

Data correspond to usage on the plateform after 2015. The current usage metrics is available 48-96 hours after online publication and is updated daily on week days.

Initial download of the metrics may take a while.