Fig. 19

Download original image
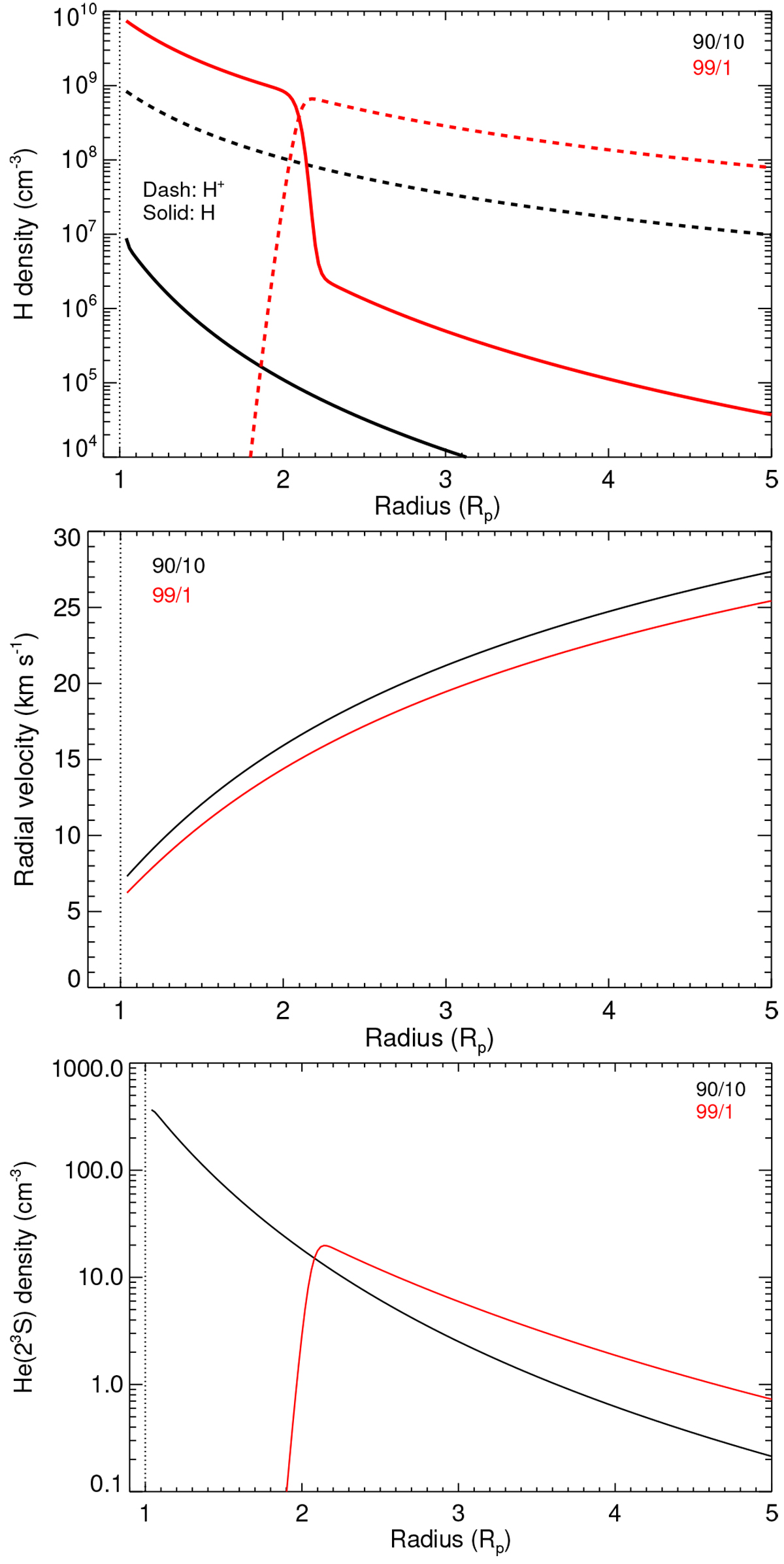
Outputs of the He hydrodynamics model showing the H and H+ densities (top), the radial wind velocity (middle), and the He (23S) density (bottom) obtained from the fit of the observed He (23S) absorption (see Fig. 18). Profiles are shown for the canonical H/He ratio of 90/10 (black) and for a high H/He ratio of 99/1 that resembles the model of Hα (red). The temperature was 14 000 K in both cases and the mass-loss rate of 3.6 × 1012 g s−1 and 1.6 × 1013 g s−1, respectively.
Current usage metrics show cumulative count of Article Views (full-text article views including HTML views, PDF and ePub downloads, according to the available data) and Abstracts Views on Vision4Press platform.
Data correspond to usage on the plateform after 2015. The current usage metrics is available 48-96 hours after online publication and is updated daily on week days.
Initial download of the metrics may take a while.