Fig. 9.

Download original image
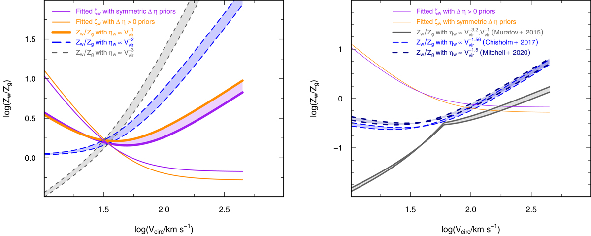
Ratio of inferred wind and ISM metallicities Zw/Zg plotted against virial velocity Vcirc. Also shown (with arbitrary scaling) is the shape of Bayesian ζw as also plotted in Fig. 2; it is clearly not a power law, thus the different power-law forms of ηw introduce inflections in Zw/Zg. Left panel: as indicated in the legend, different trends of Zw/Zg are inferred by dividing the fitted form of ζw (see Eq. (22)) by various scalings of ηw (see text for more details). The shaded regions correspond to the trends allowed by the two different Bayesian estimates of ζw according to the different Δη priors. Right panel: broken-power law trend for ηw found by Muratov et al. (2015) is shown as a solid heavy (gray) curve, where the inflection at Vcirc = 60 km s−1 corresponds to a sharp decrease of Zw/Zg (see text for more details). The short-dashed (dark-blue) curve shows the relation found by Mitchell et al. (2020), in the low-mass regime where stellar feedback dominates, and the long-dashed (blue) curve shows the observed relation derived by Chisholm et al. (2018).
Current usage metrics show cumulative count of Article Views (full-text article views including HTML views, PDF and ePub downloads, according to the available data) and Abstracts Views on Vision4Press platform.
Data correspond to usage on the plateform after 2015. The current usage metrics is available 48-96 hours after online publication and is updated daily on week days.
Initial download of the metrics may take a while.