Fig. 1

Download original image
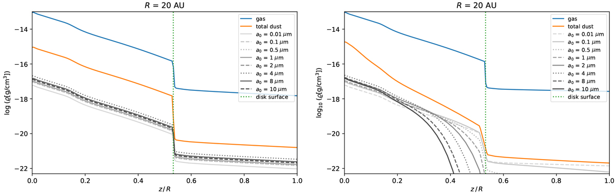
Base density profiles for a vertical slice at R ≈ 20 AU: gas in blue (identical values in both plots), total dust (for amax = 1 mm) in orange and individual dust species used for modelling the wind in grey, according to Sect. 2.1.2. Left: resultsfor a globally ‘fixed’ dust-to-gas ratio of 0.01, and right: for the ‘variable’ dust scale height dependent on a0. The disk-wind interface (green dotted line) is characterised by a sharp drop-off of both gas and dust densities. This drop-off is particularly pronounced for the ‘fixed’ total dust density at the disk surface, since we have no grains > 11.5 μm in the wind.
Current usage metrics show cumulative count of Article Views (full-text article views including HTML views, PDF and ePub downloads, according to the available data) and Abstracts Views on Vision4Press platform.
Data correspond to usage on the plateform after 2015. The current usage metrics is available 48-96 hours after online publication and is updated daily on week days.
Initial download of the metrics may take a while.