Free Access
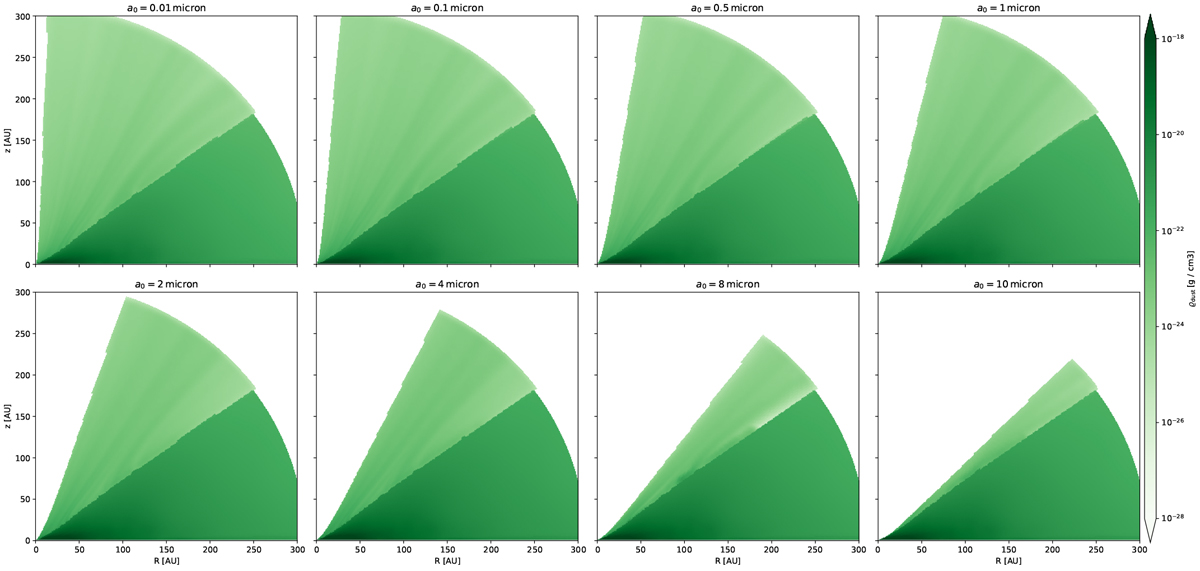
Fig. 3

Download original image
Dust densities for the XEUV-irradiated primordial disk in (R, z) for a ‘fixed’ dust-to-gas ratio throughout the disk. Enough material of all grain sizes is present at the base of the XEUV-driven outflow, resulting in high dust densities in the wind. Due to the model setup, the disk-wind interface is clearly discernible.
Current usage metrics show cumulative count of Article Views (full-text article views including HTML views, PDF and ePub downloads, according to the available data) and Abstracts Views on Vision4Press platform.
Data correspond to usage on the plateform after 2015. The current usage metrics is available 48-96 hours after online publication and is updated daily on week days.
Initial download of the metrics may take a while.