Fig. 4

Download original image
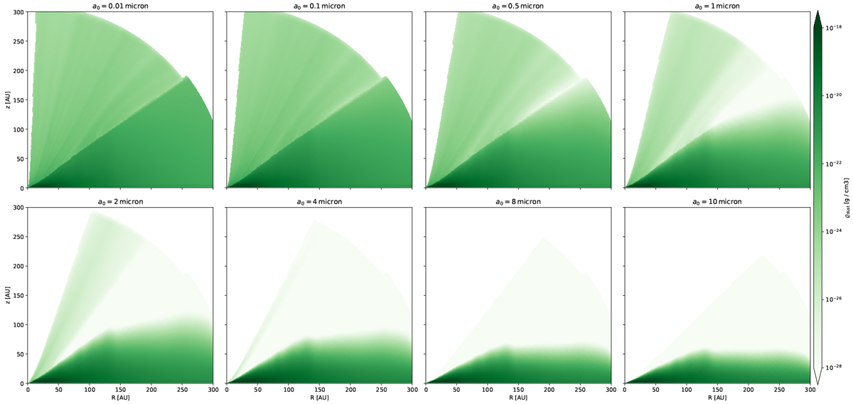
As Fig. 3, but for a ‘variable’ dust-to-gas ratio in the disk; same grain sizes and colour bar. The (lower) ‘variable’ dust scale height results in much lower dust densities in the wind than in the ‘fixed’ model, even for very small grains. The slightly wiggly appearance of the in-disk densities at R ≃ 150 AU is caused by the underlying gas disk; it can be ignored as most dust entrainment occurs for smaller R (in respect to both total mass and radius).
Current usage metrics show cumulative count of Article Views (full-text article views including HTML views, PDF and ePub downloads, according to the available data) and Abstracts Views on Vision4Press platform.
Data correspond to usage on the plateform after 2015. The current usage metrics is available 48-96 hours after online publication and is updated daily on week days.
Initial download of the metrics may take a while.