Free Access

Fig. 7

image

Download original image

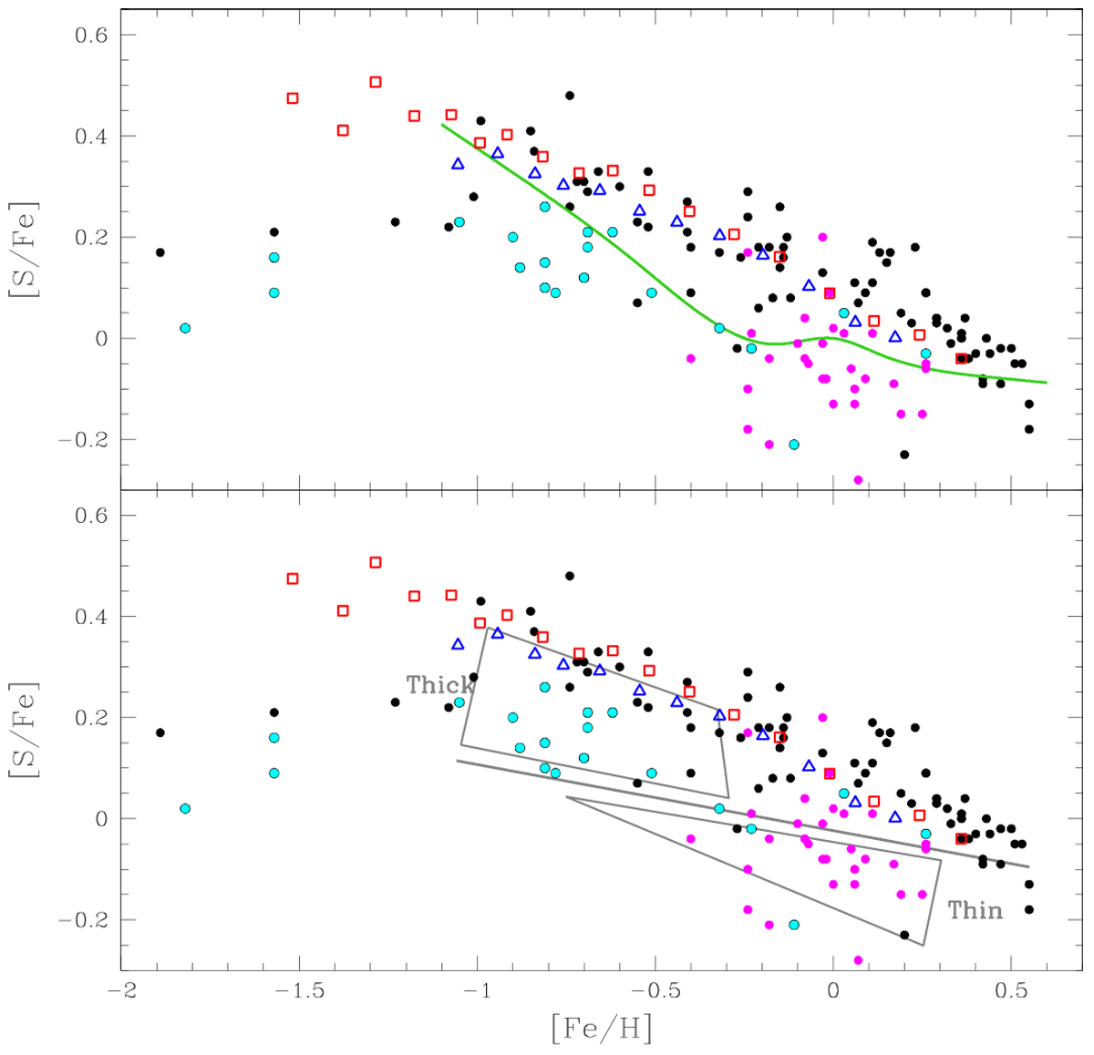
[S/Fe] versus [Fe/H] diagrams. The [S/Fe]NLTE measured in this work for bulge and thick- and thin-dwarf stars are shown in black, cyan, and magenta points, respectively.The open red squares and open blue triangles are the median trends for bulge and thick-disk stars studied by Griffith et al. (2021). The mean trend obtained by Duffau et al. (2017) for Galactic-disk stars is reported as a green line. In the bottom panel are reported the thick- and thin-disk areas (gray) defined by Perdigon et al. (2021), and the line separating between them (gray continuous line).

Current usage metrics show cumulative count of Article Views (full-text article views including HTML views, PDF and ePub downloads, according to the available data) and Abstracts Views on Vision4Press platform.

Data correspond to usage on the plateform after 2015. The current usage metrics is available 48-96 hours after online publication and is updated daily on week days.

Initial download of the metrics may take a while.