Fig. A.1.

Download original image
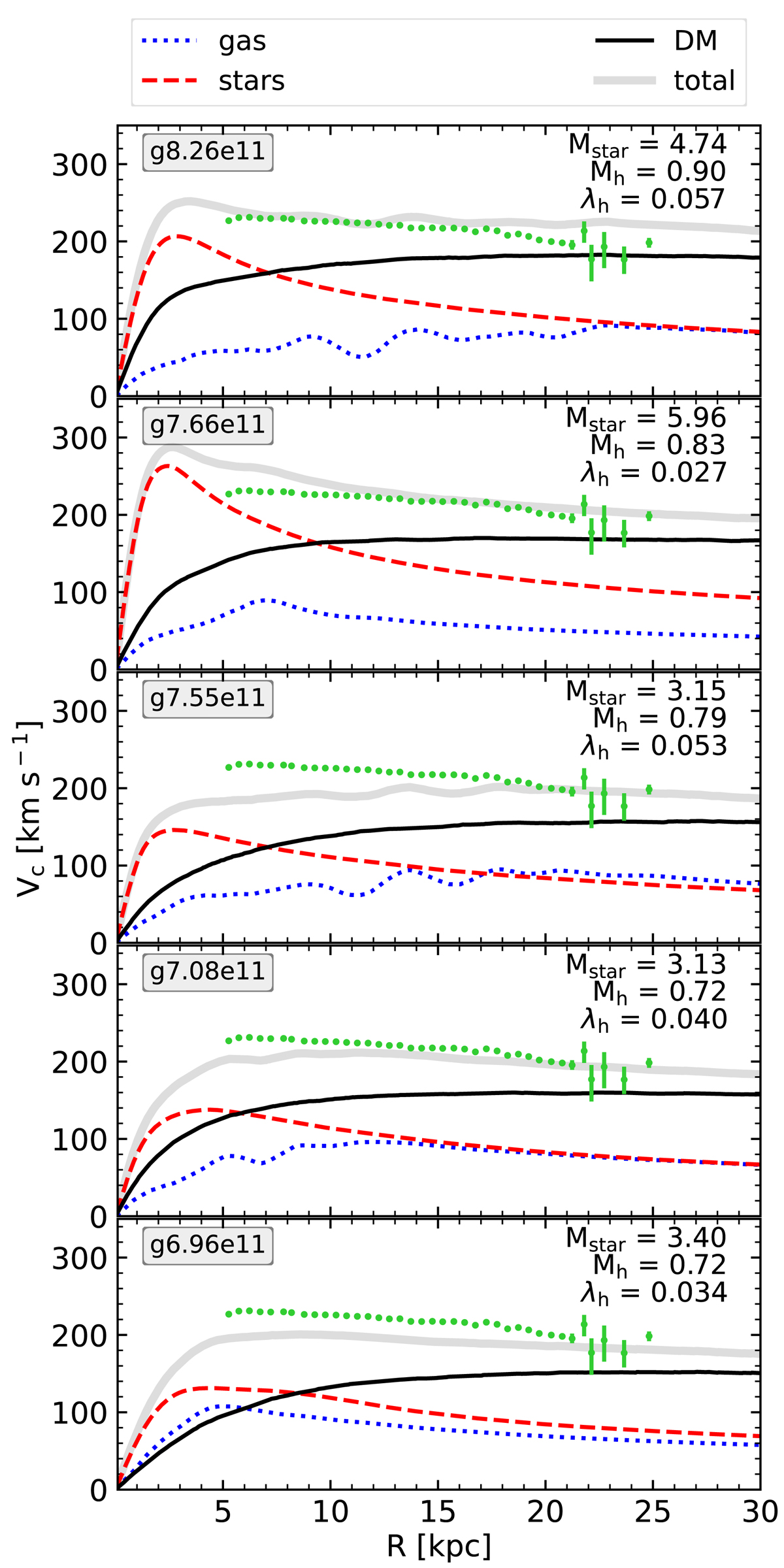
Circular velocity profiles of MW-like galaxies in NIHAO. DM halo mass, Mh, in units of 1012M⊙, halo spin, and total stellar mass, Mstar, in units of 1010M⊙ are quoted in the top right of each panel. MW observational data (green points) are from Eilers et al. (2019).
Current usage metrics show cumulative count of Article Views (full-text article views including HTML views, PDF and ePub downloads, according to the available data) and Abstracts Views on Vision4Press platform.
Data correspond to usage on the plateform after 2015. The current usage metrics is available 48-96 hours after online publication and is updated daily on week days.
Initial download of the metrics may take a while.