Fig. 2.

Download original image
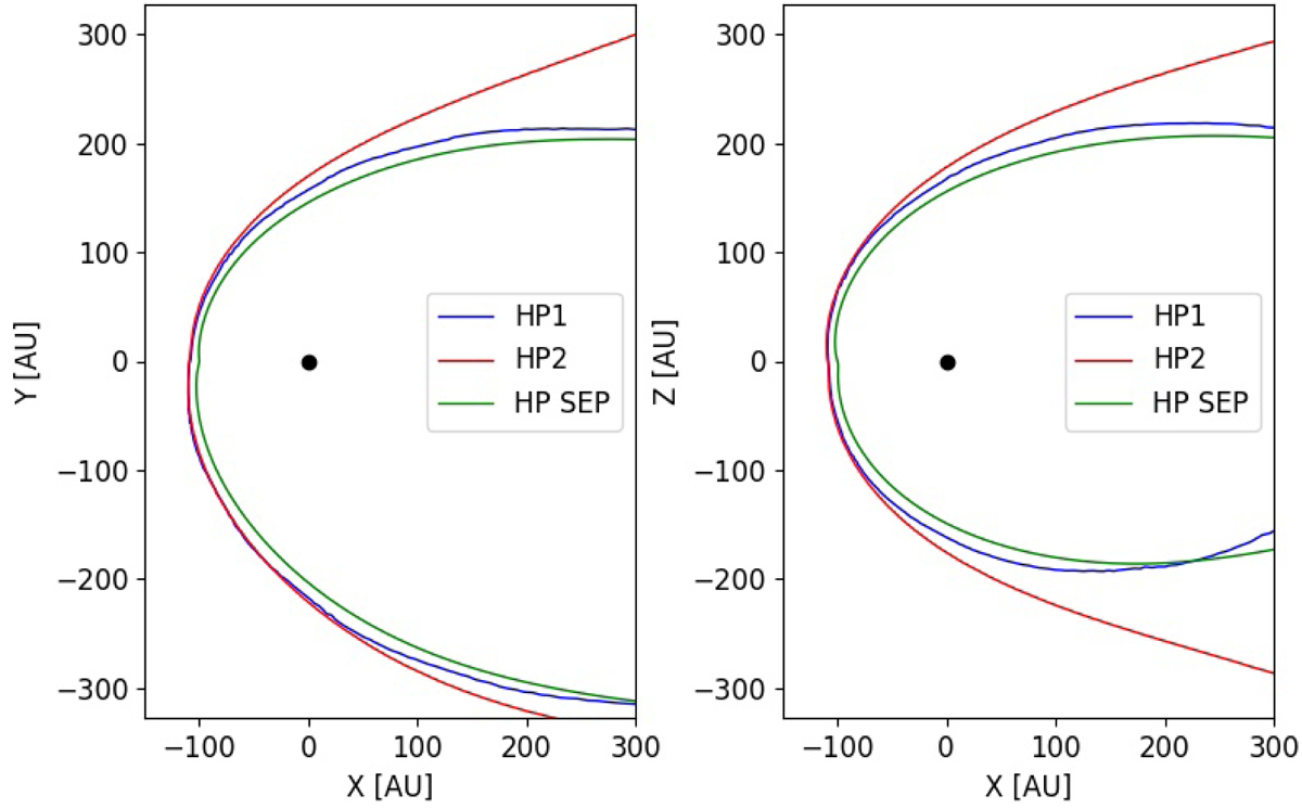
Shape of the HP according to three different definitions for a stationary solution for the LISM magnetic field strength B∞ = 0.3 nT. Definitions HP1 and HP2 are based on the density profile and the definition HP SEP is the separatrix between the heliospheric and LISM flows computed from streamline analysis. Both the B − V-plane cut (on the left) and the perpendicular-plane cut (on the right) through the three-dimensional solution are shown.
Current usage metrics show cumulative count of Article Views (full-text article views including HTML views, PDF and ePub downloads, according to the available data) and Abstracts Views on Vision4Press platform.
Data correspond to usage on the plateform after 2015. The current usage metrics is available 48-96 hours after online publication and is updated daily on week days.
Initial download of the metrics may take a while.