Free Access
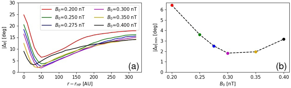
Fig. 6.

Download original image
Similar dependence as presented in Fig. 5 but for the HP2 definition of the heliopause. The dependence of |Δθ| on the distance from the HP (HP2 definition) is shown in panel a. Panel b: how the minimum of each profile in panel a depends on the LISM magnetic field strength.
Current usage metrics show cumulative count of Article Views (full-text article views including HTML views, PDF and ePub downloads, according to the available data) and Abstracts Views on Vision4Press platform.
Data correspond to usage on the plateform after 2015. The current usage metrics is available 48-96 hours after online publication and is updated daily on week days.
Initial download of the metrics may take a while.