Fig. 8.

Download original image
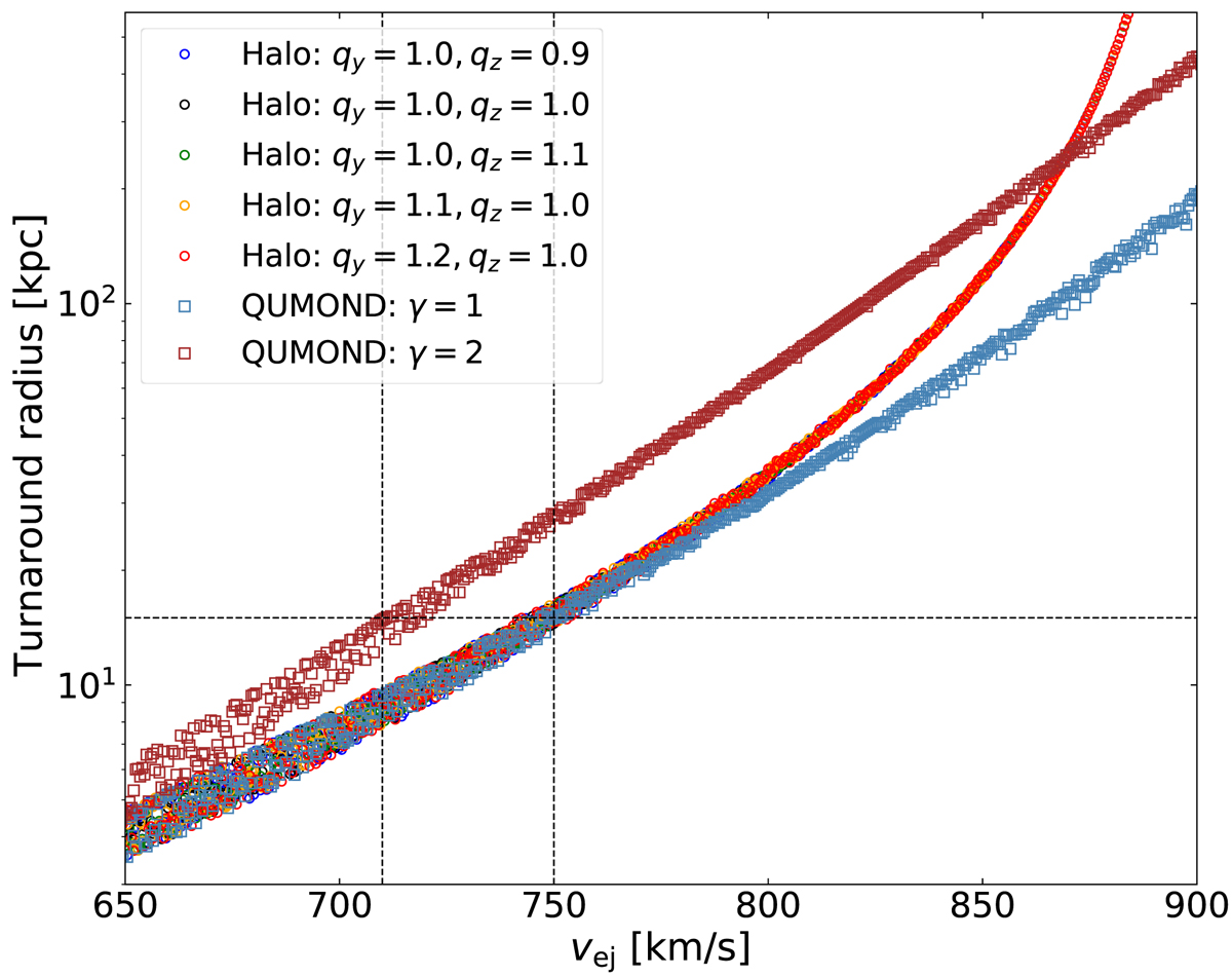
HVS outer turnaround as a function of the ejection speed, vej, in Newtonian gravity with different shapes of the dark matter halo and in QUMOND with γ = 1 and γ = 2; models and symbols are detailed in the inset. The scatter of the points originates from the random initial directions of the HVS ejection velocities. The Newtonian gravitational potential is dominated by the dark matter halo that becomes approximately spherical at large radii and makes the scatter of the points decrease with increasing vej. The vertical dotted lines mark the thresholds vej = 710 km s−1 for QUMOND with γ = 2 and vej = 750 km s−1 for all the other models; the horizontal line marks the minimum galactocentric distance of 15 kpc, appropriate for 4 M⊙ HVSs. Less massive stars have larger velocity thresholds and larger minimum galactocentric distances.
Current usage metrics show cumulative count of Article Views (full-text article views including HTML views, PDF and ePub downloads, according to the available data) and Abstracts Views on Vision4Press platform.
Data correspond to usage on the plateform after 2015. The current usage metrics is available 48-96 hours after online publication and is updated daily on week days.
Initial download of the metrics may take a while.