Free Access

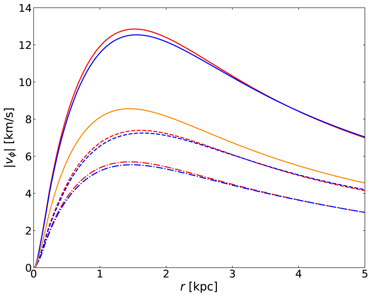
Fig. 9.

image

Download original image

Magnitude of the azimuthal velocity component, vϕ, in QUMOND as a function of the galactocentric distance, r, for three 4 M HVSs with different ejection velocities: vej = 710 km s−1 in QUMOND with γ = 2 (red), vej = 750 km s−1 in QUMOND with γ = 1 (blue), and vej = 1000 km s−1 in QUMOND with γ = 1 (orange). The solid lines are for the stars ejected along θ = 45° and ϕ = 45°, whereas the dashed (dash-dotted) line is for θ = 45° and ϕ = 15° (75°). In these examples, the QUMOND field is due to the triaxial bulge and the axisymmetric disk. The stars acquire vϕ only due to the triaxiality of the bulge.

Current usage metrics show cumulative count of Article Views (full-text article views including HTML views, PDF and ePub downloads, according to the available data) and Abstracts Views on Vision4Press platform.

Data correspond to usage on the plateform after 2015. The current usage metrics is available 48-96 hours after online publication and is updated daily on week days.

Initial download of the metrics may take a while.