Free Access
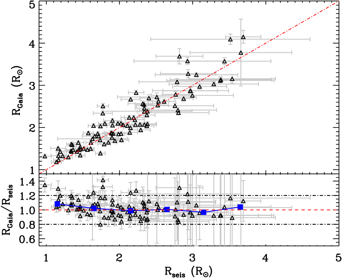
Fig. D.1.

Download original image
Comparison between the seismic radii after applying the Mosser et al. (2013) corrections on Δν and the Gaia radii (top panel) and ratio of the radii for our sample (bottom panel) but using the effective temperature from B20 in the seismic scaling relations to compute the radii, Rseis. Same details as in Figure 12.
Current usage metrics show cumulative count of Article Views (full-text article views including HTML views, PDF and ePub downloads, according to the available data) and Abstracts Views on Vision4Press platform.
Data correspond to usage on the plateform after 2015. The current usage metrics is available 48-96 hours after online publication and is updated daily on week days.
Initial download of the metrics may take a while.