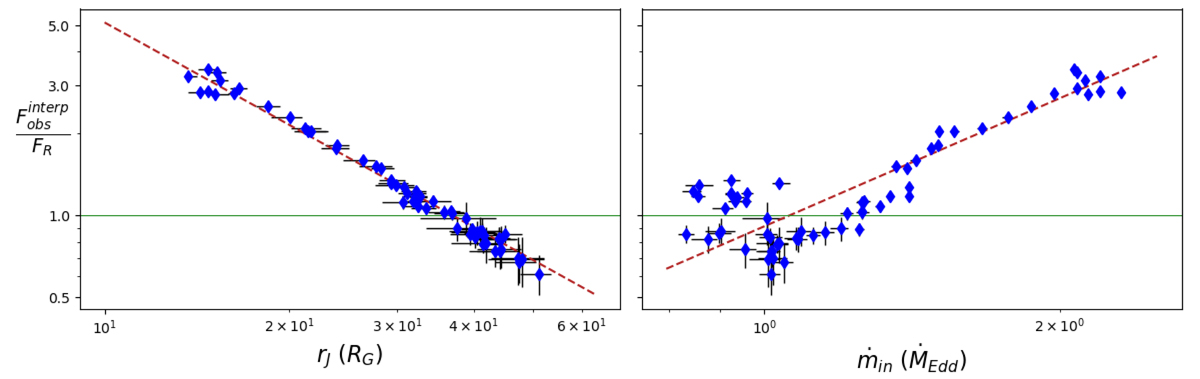
Fig. 4.

Download original image
Ratio of the observed radio fluxes to the results of Eq. (1) (using ) as a function of rJ (left) and ṁin (right) for outburst 4. In the case of X-ray observations without simultaneous radio measurement, the radio flux was interpolated from the radio light curve (see Fig. A.1). The dashed line shows the best fit power law:
(left) and
(right).
Current usage metrics show cumulative count of Article Views (full-text article views including HTML views, PDF and ePub downloads, according to the available data) and Abstracts Views on Vision4Press platform.
Data correspond to usage on the plateform after 2015. The current usage metrics is available 48-96 hours after online publication and is updated daily on week days.
Initial download of the metrics may take a while.