Free Access
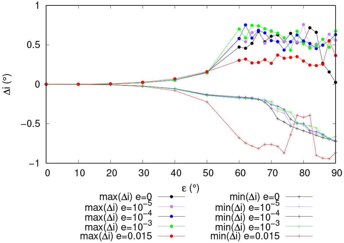
Fig. 13

Download original image
Evolution of the maximum and minimum variations in the mean inclination Δi owing to the encounter with the ν1 resonance in the case where the capture in the resonance fails, with respect to the obliquity for different initial eccentricities.
Current usage metrics show cumulative count of Article Views (full-text article views including HTML views, PDF and ePub downloads, according to the available data) and Abstracts Views on Vision4Press platform.
Data correspond to usage on the plateform after 2015. The current usage metrics is available 48-96 hours after online publication and is updated daily on week days.
Initial download of the metrics may take a while.