Free Access
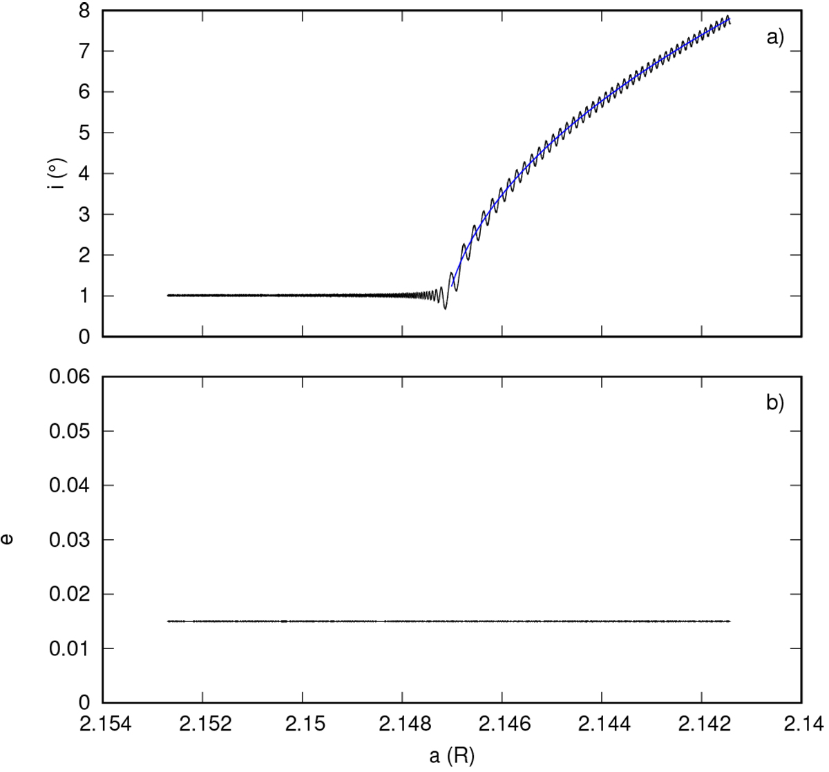
Fig. 15

Download original image
Evolution of the inclination (a), and of the eccentricity (b) during the capture in the ν2 resonance for an obliquity of ε = 20° with the initial conditions e = 0.015 and Ω = 0°. The blue curve corresponds to the stable fixed point of the ν2 resonance computed with Eq. (37).
Current usage metrics show cumulative count of Article Views (full-text article views including HTML views, PDF and ePub downloads, according to the available data) and Abstracts Views on Vision4Press platform.
Data correspond to usage on the plateform after 2015. The current usage metrics is available 48-96 hours after online publication and is updated daily on week days.
Initial download of the metrics may take a while.