Free Access
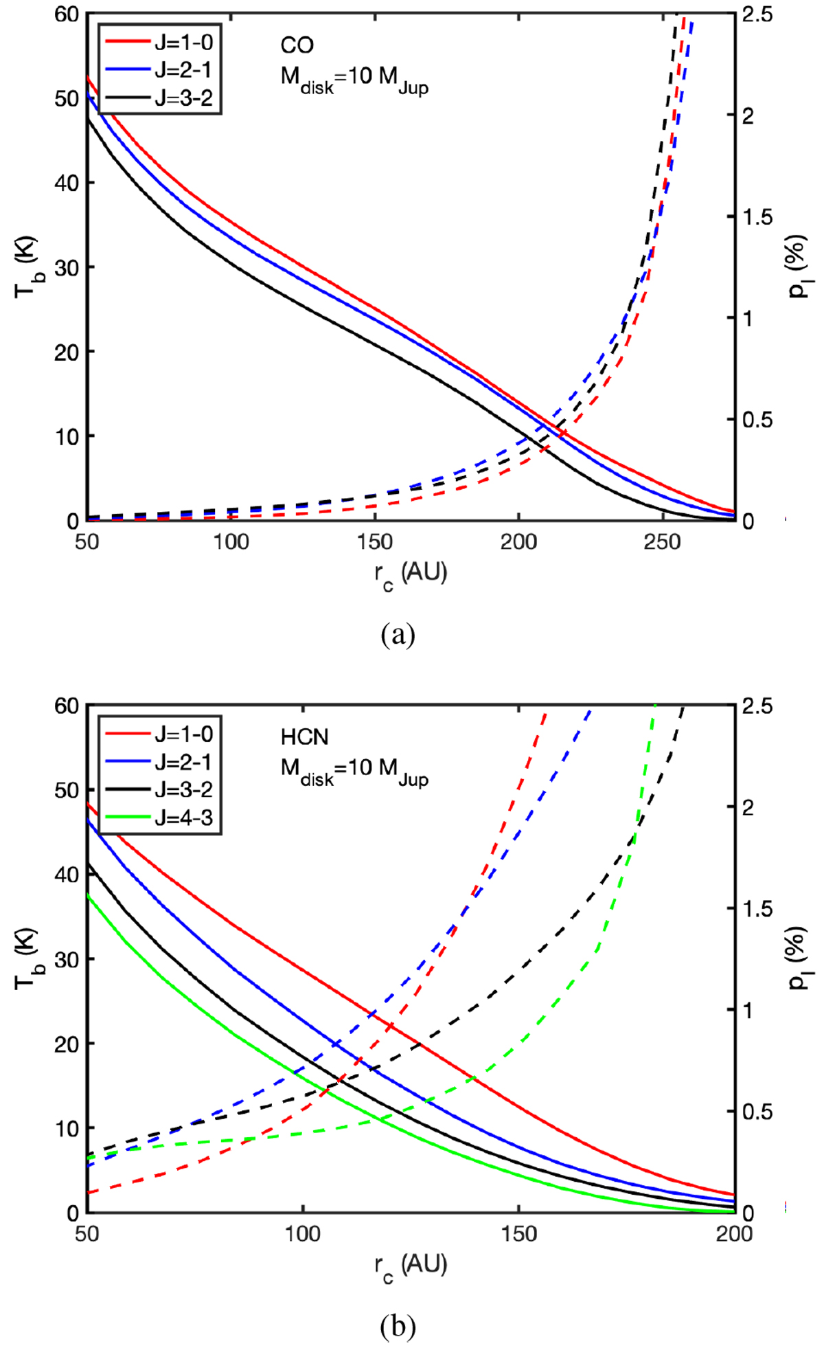
Fig. 9

Download original image
Azimuthally averaged total emission and polarization fraction of a variety of transitions of CO (a) and HCN (b) from a face-on axisymmetric disk with a mass of 10 MJ. The polarization fraction was computed for a toroidal magnetic field configuration. The polarization fraction is omitted for Tb < 0.1 K.
Current usage metrics show cumulative count of Article Views (full-text article views including HTML views, PDF and ePub downloads, according to the available data) and Abstracts Views on Vision4Press platform.
Data correspond to usage on the plateform after 2015. The current usage metrics is available 48-96 hours after online publication and is updated daily on week days.
Initial download of the metrics may take a while.