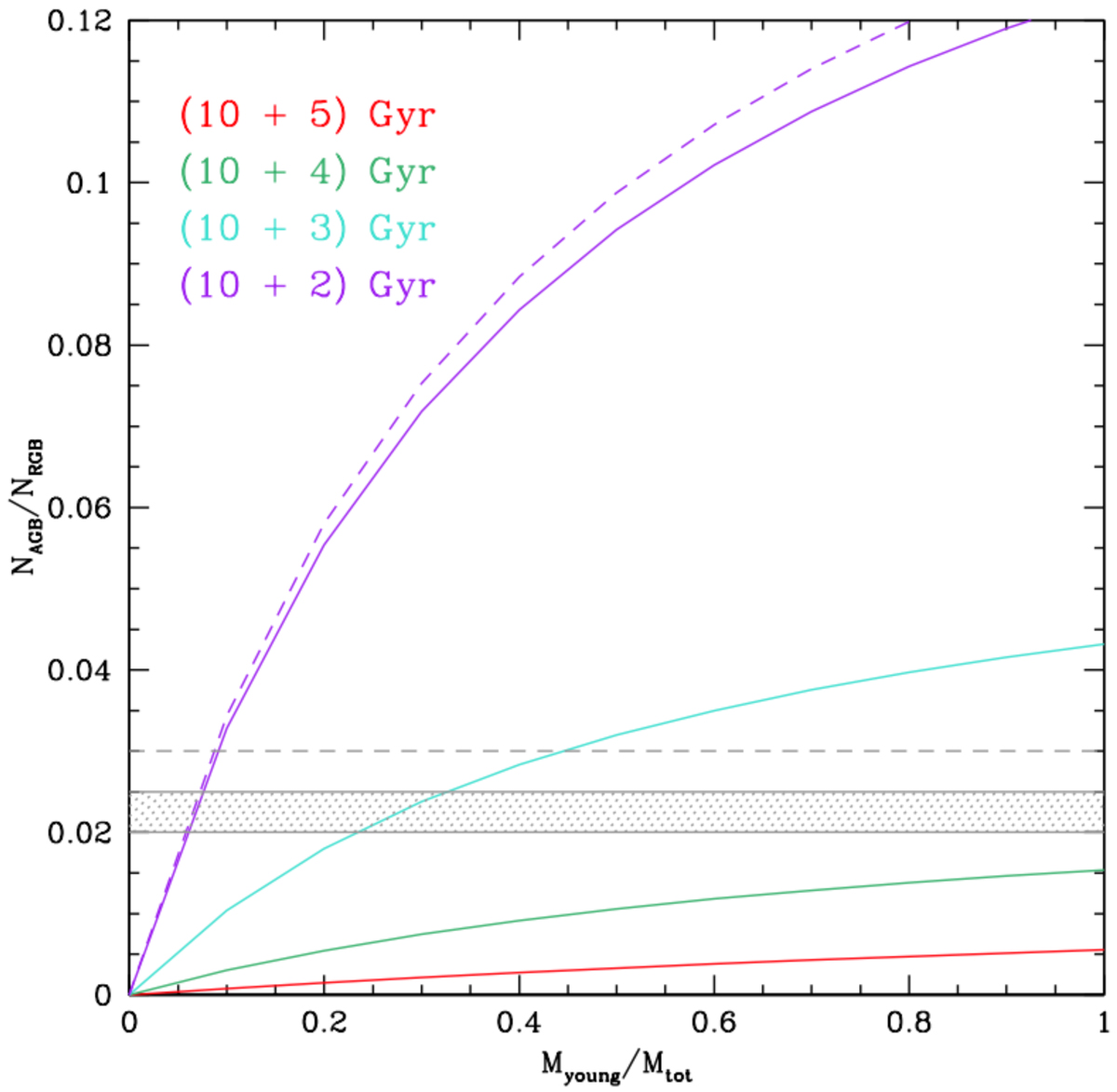
Fig. 14.

Download original image
Number ratio of the bright AGB vs. RGB stars selected within the boxes described in Fig. 13 for a theoretical stellar population including two bursts (see legend) as a function of mass of the younger population. The shaded band encompasses the ratio of stars in our inner halo fields (W6, W9, W10, W11, and W12) counted in the boxes plotted with solid lines in Fig. 13. The horizontal line is the observed ratio when brighter stars are also included within the dashed box (22.25 < I0 < 23.85) with respect to counts in the RGB box (23.85 < I0 < 25.45).
Current usage metrics show cumulative count of Article Views (full-text article views including HTML views, PDF and ePub downloads, according to the available data) and Abstracts Views on Vision4Press platform.
Data correspond to usage on the plateform after 2015. The current usage metrics is available 48-96 hours after online publication and is updated daily on week days.
Initial download of the metrics may take a while.