Fig. 13.

Download original image
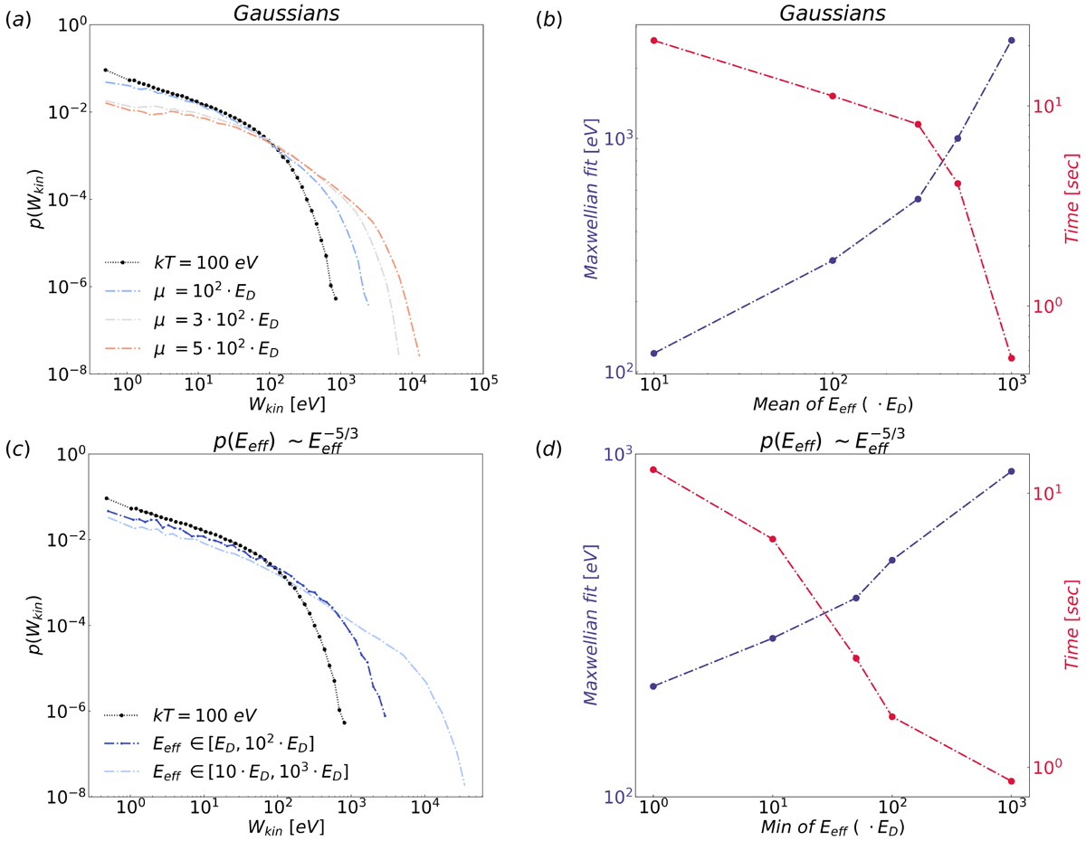
(a) Steady-state kinetic energy distribution for different Gaussian distributions of Eeff. (b) Parametric study of (i) the temperature of the Maxwellian fit (blue), and (ii) the time required for the distribution to reach steady state (tacc; red) for Gaussian distributions of Eeff. (c) Steady-state kinetic energy distribution for different power-law distributions of Eeff. (d) Parametric study of (i) the temperature of the Maxwellian fit (blue), and (ii) the time required for the distribution to reach steady state (tacc; red) for power-law distributions of Eeff. In any case, the maximum value of Eeff is Emax = 102 ⋅ Emin.
Current usage metrics show cumulative count of Article Views (full-text article views including HTML views, PDF and ePub downloads, according to the available data) and Abstracts Views on Vision4Press platform.
Data correspond to usage on the plateform after 2015. The current usage metrics is available 48-96 hours after online publication and is updated daily on week days.
Initial download of the metrics may take a while.