Fig. 16.

Download original image
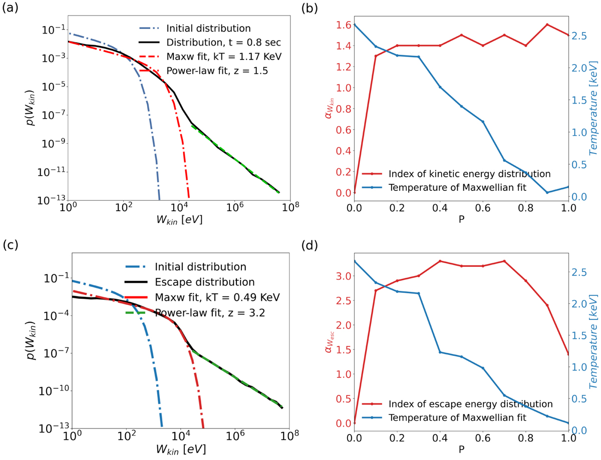
(a) Steady-state kinetic energy distribution, along with a Maxwellian fit of temperature T ∼ 1 KeV and a power-law fit, for P = 0.5. (b) Power-law index of the steady-state kinetic energy distribution (blue), and the temperature of the Maxwellian fit (red), for different ratios P of the two kinds of scatterers. (c) Kinetic energy distribution for the escaped particles, for P = 0.5. (d) Power-law index of the kinetic energy distribution of the escaped particles (blue), and the temperature of the Maxwellian fit (red), for different ratios P of the two kinds of scatterers.
Current usage metrics show cumulative count of Article Views (full-text article views including HTML views, PDF and ePub downloads, according to the available data) and Abstracts Views on Vision4Press platform.
Data correspond to usage on the plateform after 2015. The current usage metrics is available 48-96 hours after online publication and is updated daily on week days.
Initial download of the metrics may take a while.