Open Access
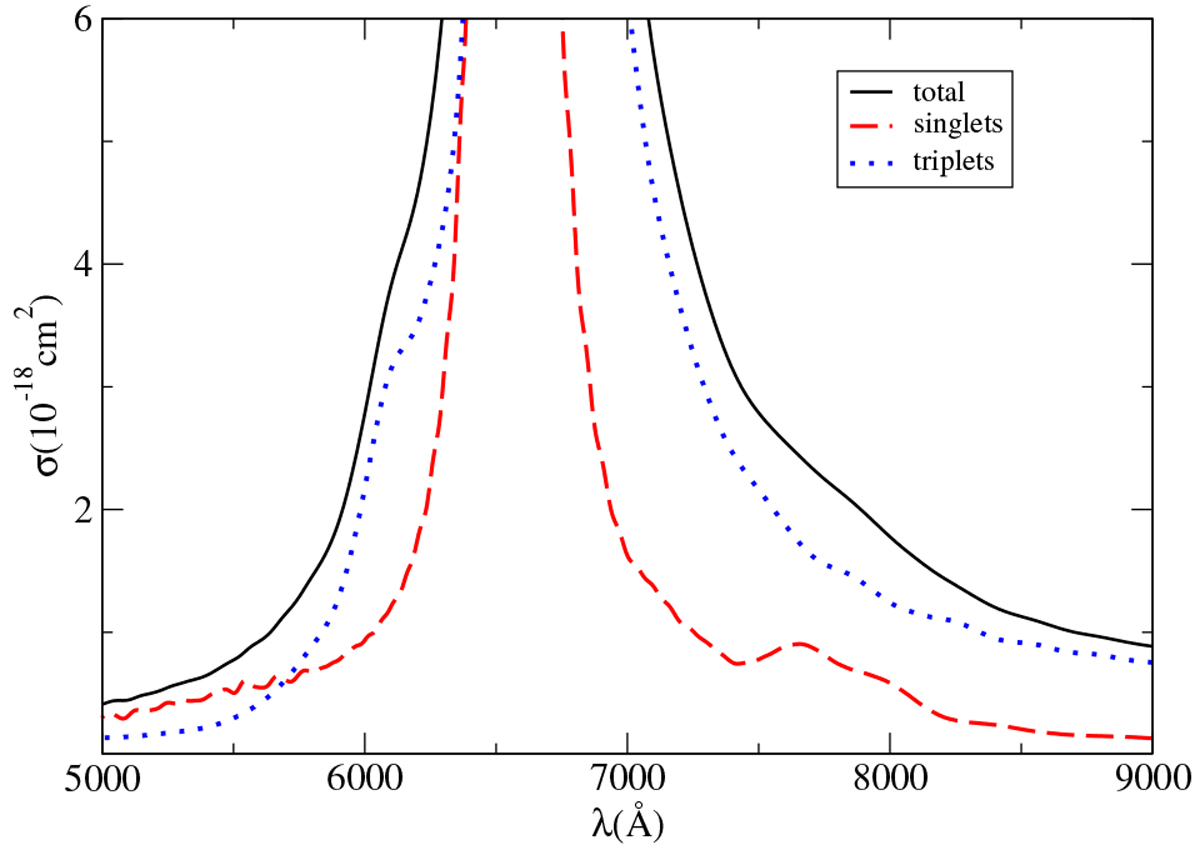
Fig. 11

Download original image
Balmer-α line, perturbed by H-H collisions (black curve), and the Balmer line with the sole contribution of the triplet transitions (blue dotted curve) and the sole contribution of the singlet transitions (dashed red curve). The H density is 1021 cm−3; the temperature is 5000 K.
Current usage metrics show cumulative count of Article Views (full-text article views including HTML views, PDF and ePub downloads, according to the available data) and Abstracts Views on Vision4Press platform.
Data correspond to usage on the plateform after 2015. The current usage metrics is available 48-96 hours after online publication and is updated daily on week days.
Initial download of the metrics may take a while.