Fig. 12

Download original image
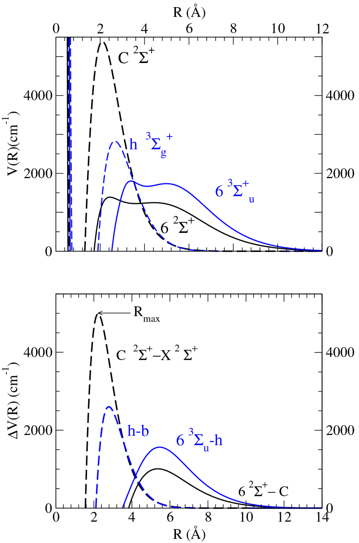
Repulsive potentials and their difference for H-He and H-H. Top: potential energy V of the repulsive states of Balmer-α perturbed by H-He collisions (black curves); H-H collisions (blue curves); and the same, but for Lyman-α (dashed curves). Bottom: difference potential ΔV (R) for the Balmer transitions 6 2Σ+–C 2Σ+ of H-He collisions (black curves); 6 –h
of H-H collisions (blue curves); and the same, but for the Lyman (dashed curves) C 2 Σ+ –X 2Σ+ and h
–b
transitions.
Current usage metrics show cumulative count of Article Views (full-text article views including HTML views, PDF and ePub downloads, according to the available data) and Abstracts Views on Vision4Press platform.
Data correspond to usage on the plateform after 2015. The current usage metrics is available 48-96 hours after online publication and is updated daily on week days.
Initial download of the metrics may take a while.