Free Access
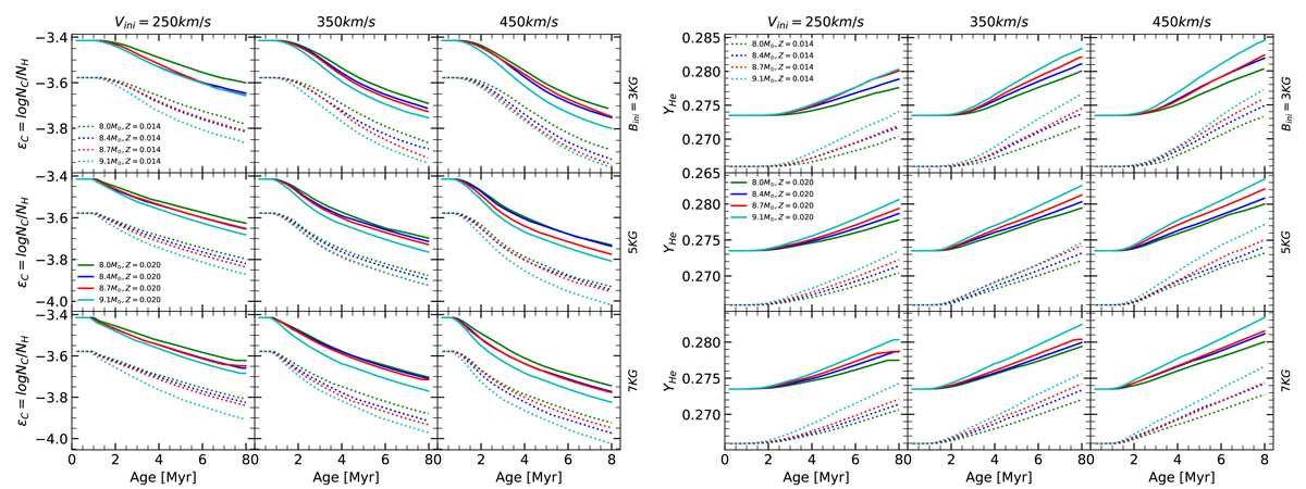
Fig. 6.

Download original image
Evolution of the abundance ratios (given as ratios of the number density of the considered elements) at the surface as a function of time. Left panel: ratio of carbon to hydrogen. Right panel: ratio of helium to hydrogen.
Current usage metrics show cumulative count of Article Views (full-text article views including HTML views, PDF and ePub downloads, according to the available data) and Abstracts Views on Vision4Press platform.
Data correspond to usage on the plateform after 2015. The current usage metrics is available 48-96 hours after online publication and is updated daily on week days.
Initial download of the metrics may take a while.