Fig. 9

Download original image
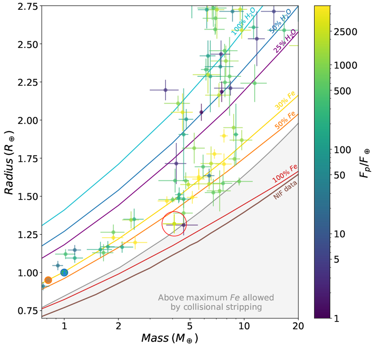
Mass–radius diagram for planets with radii below 5 R⊕ and masses below 20 M⊕, with mass uncertainties under 20%. Planets are color-coded according to their incident flux. Data retrieved from TEPcat (Southworth 2011) as of March 2021. For reference, Venus and Earth are also plotted. Colored lines represent the theoretical models for internal composition of small planets (Zeng et al. 2016). The experiment-based mass-radius relationship for a hypothetical pure iron planet from Smith et al. (2018) is shown in brown, with data from the National Ignition Facility (NIF). The gray line and shaded area represent the limit by maximum collisional stripping curve according to Marcus et al. (2010). The small planet discovered and characterized in this paper is plotted in the red circle.
Current usage metrics show cumulative count of Article Views (full-text article views including HTML views, PDF and ePub downloads, according to the available data) and Abstracts Views on Vision4Press platform.
Data correspond to usage on the plateform after 2015. The current usage metrics is available 48-96 hours after online publication and is updated daily on week days.
Initial download of the metrics may take a while.