Fig. 9

Download original image
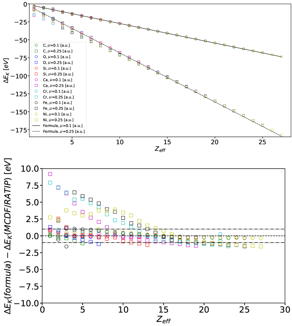
Top: K-threshold lowering, ΔEK in eV, as a function of the effective charge, Zeff, in several abundant ions. Solid line: Fitting formula (12) for μ = 0.1 a.u. Dashed line: fitting formula (12) for μ = 0.25 a.u. Colored symbols: MCDF/RATIP method. Bottom: differences between universal formula’s K-threshold energy lowerings and MCDF/RATIP values, (ΔEK(formula) − ΔEK(MCDF∕RATIP)) in eV, as a function of the effective charge, Zeff, in severalabundant ions. Dashed line: straight line of equality. Dotted-dashed lines: Straight lines of ± 1 eV differences.
Current usage metrics show cumulative count of Article Views (full-text article views including HTML views, PDF and ePub downloads, according to the available data) and Abstracts Views on Vision4Press platform.
Data correspond to usage on the plateform after 2015. The current usage metrics is available 48-96 hours after online publication and is updated daily on week days.
Initial download of the metrics may take a while.