Free Access
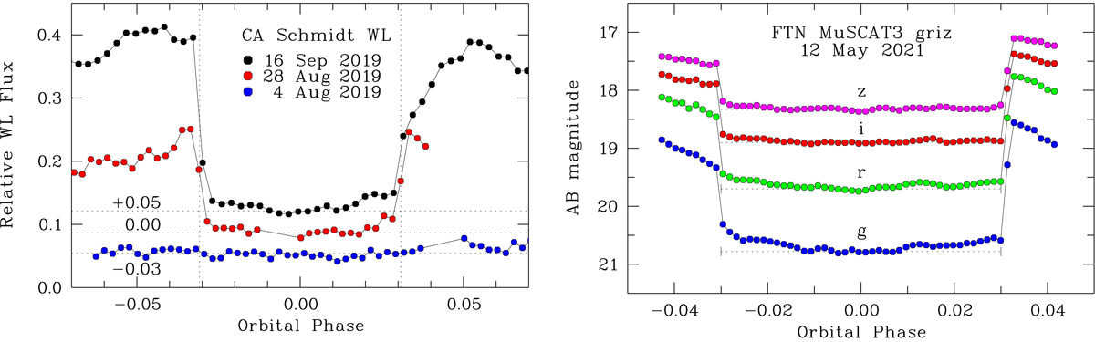
Fig. 4.

Download original image
Left: eclipse light curves in WL, taken with the CA Schmidt telescope, shifted vertically by the indicated amounts. Right: simultaneous eclipse light curves in the griz filters, taken with the MuSCAT3 photometer on the FTN. The dotted lines indicate the length and flux level of the totality.
Current usage metrics show cumulative count of Article Views (full-text article views including HTML views, PDF and ePub downloads, according to the available data) and Abstracts Views on Vision4Press platform.
Data correspond to usage on the plateform after 2015. The current usage metrics is available 48-96 hours after online publication and is updated daily on week days.
Initial download of the metrics may take a while.