Free Access
Fig. 5.

Download original image
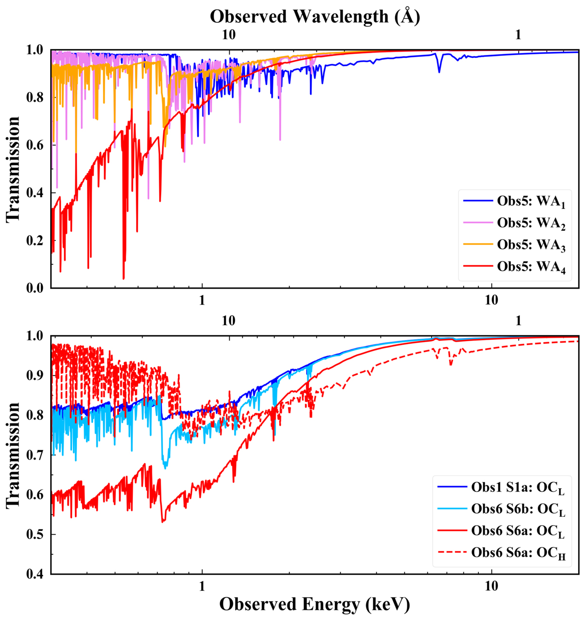
Transmission spectra of the four WAs of Obs5 (WA1, WA2, WA3, WA4 (top panel; Obs5 is given as an example) and obscurer components of S6a, S6b, and S1a (bottom panel). OCL is the low-ionization obscurer component, while OCH is the high-ionization obscurer component.
Current usage metrics show cumulative count of Article Views (full-text article views including HTML views, PDF and ePub downloads, according to the available data) and Abstracts Views on Vision4Press platform.
Data correspond to usage on the plateform after 2015. The current usage metrics is available 48-96 hours after online publication and is updated daily on week days.
Initial download of the metrics may take a while.