Fig. 6.

Download original image
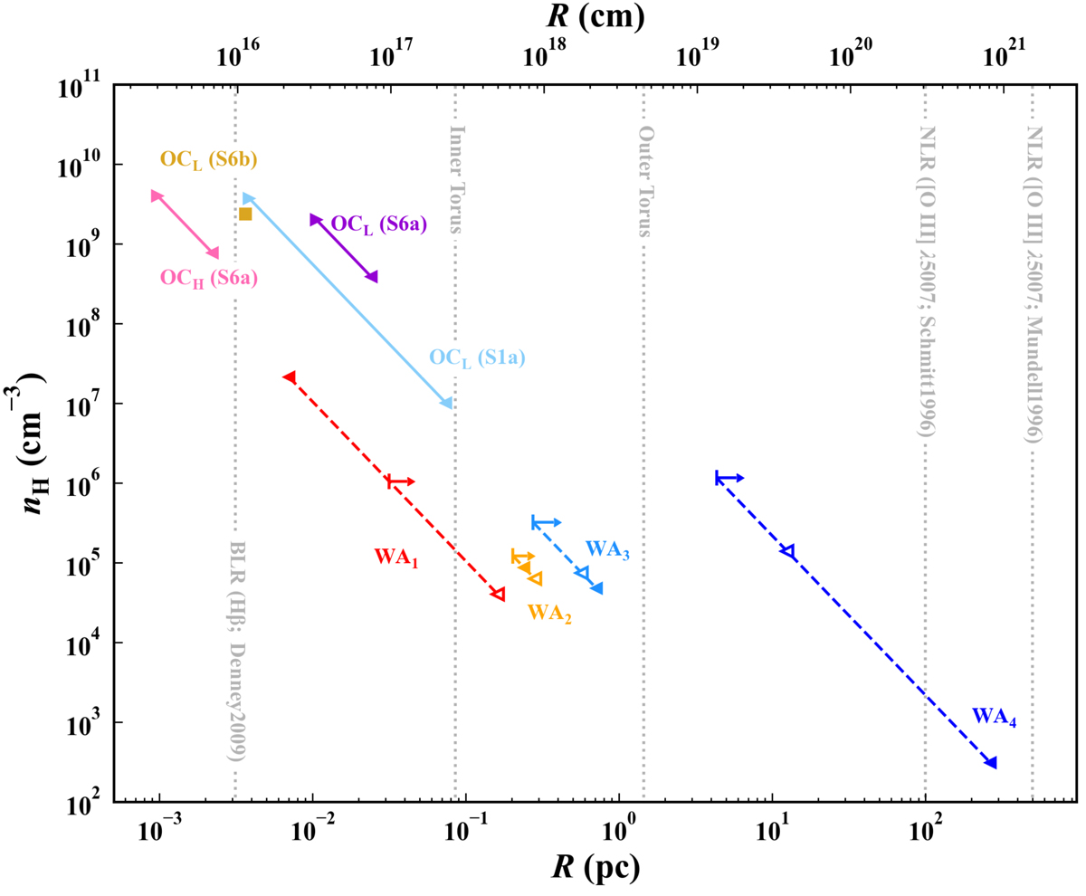
Distances of the four WAs (WA1, WA2, WA3, WA4) and four obscurer components from the center of NGC 3227. Here, OCL is the low-ionization obscurer component and OCH is the high-ionization obscurer component. The symbols “◂” for the WAs represent the upper limits of the distance estimated by the assumption that the thickness of the WA cloud does not exceed its distance to the SMBH (see Eq. (2)). The symbols “↦” for the WAs represent the lower limits of the distance estimated by the assumption that the outflow velocities of winds are larger than or equal to their escape velocities (see Eq. (6)). The symbols “◃” for the WAs represent the upper limits of the distance estimated by the upper limits of the recombination timescale (see Eq. (7)). The symbols “▸” and “◂” for the obscurer components represent the lower and upper limits of the distance estimated by the range of the crossing time (see Eq. (10)). The radial location of the optical BLR of NGC 3227 is estimated by the time lag between the Hβ line and continuum at 5100 Å (Denney et al. 2009). The inner radii of the torus are estimated by the dust sublimation radius (see Eq. (8)) and its outer radii are estimated by Rout = Y × Rin (Y = 17 for NGC 3227; Alonso-Herrero et al. 2011). The location of the NLR is estimated by the optical [O III] λ5007 image (Mundell et al. 1995; Schmitt & Kinney 1996).
Current usage metrics show cumulative count of Article Views (full-text article views including HTML views, PDF and ePub downloads, according to the available data) and Abstracts Views on Vision4Press platform.
Data correspond to usage on the plateform after 2015. The current usage metrics is available 48-96 hours after online publication and is updated daily on week days.
Initial download of the metrics may take a while.