Free Access
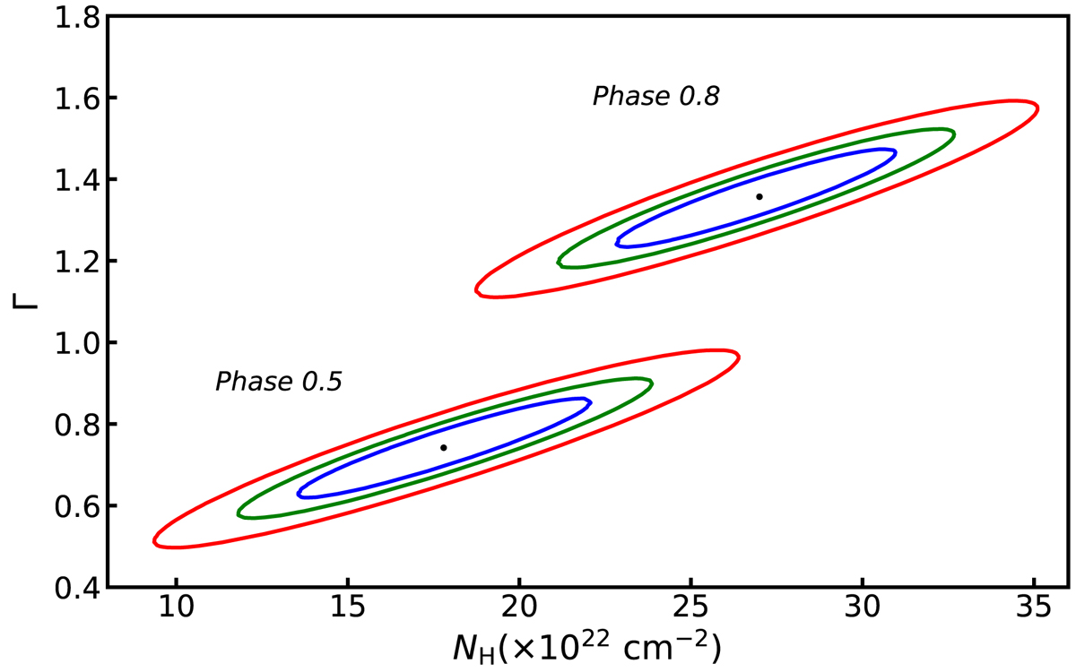
Fig. 6.

Download original image
Confidence contours of NH versus Γ obtained using the best-fit model for the spin phase-resolved spectra at phases 0.5 and 0.8 (see the text). The blue, green, and red contours correspond to the 1σ, 2σ, and 3σ confidence levels obtained using χ2 statistics for two free parameters.
Current usage metrics show cumulative count of Article Views (full-text article views including HTML views, PDF and ePub downloads, according to the available data) and Abstracts Views on Vision4Press platform.
Data correspond to usage on the plateform after 2015. The current usage metrics is available 48-96 hours after online publication and is updated daily on week days.
Initial download of the metrics may take a while.